Competishun Header

Report Issue

JEE Advanced 2020
Paper-2 2020
Question
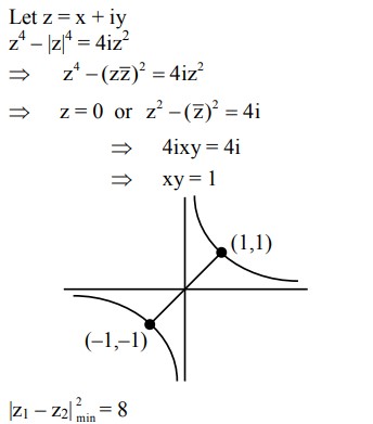
For a complex number z, let $\operatorname{Re}(z)$ denote the real part of $z$. Let $S$ be the set of all complex numbers $z$ satisfying $z^4-|z|^4=4 i z^2$, where $i=\sqrt{-1}$. Then the minimum possible value of $\left|z_1-z_2\right|^2$, where $z_1, z_2 \in S$ with $\operatorname{Re}\left(z_1\right)>0$ and $\operatorname{Re}\left(z_2\right)<0$, is $\_\_\_\_$
Write Your Answer
✓ Correct! Well done.
✗ Incorrect. Try again or view the solution.
Solution
Solution Image
Question Tags
JEE Advance
Mathematics
Easy
Start Preparing for JEE with Competishun
Video Solution
BY competishun
Video Solution
Watch Solution
Filters 0
JEE Main
JEE Advance
Easy
Medium
Hard
Showing 18 questions
QJEE Main 20262026
$\left(\frac{1}{3}+\frac{4}{7}\right)+\left(\frac{1}{3^2}+\frac{1}{3} \times \frac{4}{7}+\frac{4^2}{7^2}\right)+\left(\frac{1}{3^3}+\frac{1}{3^2} \times \frac{4}{7}+\frac{1}{3} \times \frac{4^2}{7^2}+\frac{4^3}{7^3}\right)+\ldots$ upto infinite terms, is equal to
JEE AdvanceMathematicsEasy
View Solution
QJEE Main 20262026
Let $P=\left[p_{i j}\right]$ and $Q=\left[q_{i j}\right]$ be two square matrices of order 3 such that $q_{\mathrm{ij}}=2^{(\mathrm{i}+\mathrm{j}-1)} \mathrm{p}_{\mathrm{ij}}$ and $\operatorname{det}(Q)=2^{10}$. Then...
JEE AdvanceMathematicsEasy
View Solution
QJEE Main 20262026
Let the image of parabola $x^2=4 y$, in the line $x-y=1$ be $(y+a)^2=b(x-c), a, b, c \in \mathrm{~N}$. Then $a+b+c$...
JEE MainMathematicsEasy
View Solution
QJEE Main 20262026
Let $a_1, a_2, a_3, a_4$ be an A.P. of four terms such that each term of the A.P. and its...
JEE MainMathematicsEasy
View Solution
QJEE Main 20262026
Let $\vec{a}=2 \hat{\mathrm{i}}-\hat{\mathrm{j}}-\hat{\mathrm{k}}, \vec{b}=\hat{\mathrm{i}}+3 \hat{\mathrm{j}}-\hat{\mathrm{k}}$ and $\vec{c}=2 \hat{\mathrm{i}}+\hat{\mathrm{j}}+3 \hat{\mathrm{k}}$. Let $\vec{v}$ be the vector in the plane of the vectors...
JEE MainMathematicsEasy
View Solution
QJEE Main 20262026
Let the angles made with the positive $x$-axis by two straight lines drawn from the point $\mathrm{P}(2,3)$ and meeting the...
JEE MainMathematicsEasy
View Solution
QJEE Main 20262026
Let the length of the latus rectum of an ellipse $\frac{x^2}{a^2}+\frac{y^2}{b^2}=1,(a>b)$, be 30 . If its eccentricity is the maximum...
JEE MainMathematicsEasy
View Solution
QJEE Main 20262026
Let $f(x)=\int \frac{7 x^{10}+9 x^8}{\left(1+x^2+2 x^9\right)^2} d x, x>0, \lim _{x \rightarrow 0} f(x)=0$ and $f(1)=\frac{1}{4}$.
If $...
JEE MainMathematicsMedium
View Solution
QJEE ADVANCE 20062006
Match the following:
JEE AdvanceChemistryEasy
View Solution
QJEE ADVANCE 20062006
According to Bohr's theory, $\mathrm{E}_{\mathrm{n}}=$ Total energy $\mathrm{K}_{\mathrm{n}}=$ Kinetic energy $\mathrm{V}_{\mathrm{n}}=$ Potential energy $\mathrm{r}_{\mathrm{n}}=$ Radius of $\mathrm{n}^{\text {th }}$ orbit...
JEE AdvanceChemistryEasy
View Solution
QJEE ADVANCE 20062006
Match the following:
JEE AdvanceChemistryEasy
View Solution
QJEE ADVANCE 20062006
Match the extraction processes listed in Column I with metals listed in Column II:
JEE AdvanceChemistryEasy
View Solution
QJEE ADVANCE 20062006
The edge length of unit cell of a metal having molecular weight $75 \mathrm{~g} / \mathrm{mol}$ is $5 \AA$ which...
JEE AdvanceChemistryEasy
View Solution
QJEE ADVANCE 20062006
We have taken a saturated solution of $\mathrm{AgBr} . \mathrm{K}_{\text {sp }}$ of AgBr is $12 \times 10^{-14}$. If $10^{-7}$...
JEE AdvanceChemistryEasy
View Solution
QJEE ADVANCE 2006 2006
For the reaction, $2 \mathrm{CO}+\mathrm{O}_2 \longrightarrow 2 \mathrm{CO}_2 ; \Delta \mathrm{H}=-560 \mathrm{~kJ}$. Two moles of CO and one mole of...
JEE AdvanceChemistryEasy
View Solution
QJEE ADVANCE 20062006
75.2 g of $\mathrm{C}_6 \mathrm{H}_5 \mathrm{OH}$ (phenol) is dissolved in a solvent of $\mathrm{K}_{\mathrm{f}}=14$. If the depression in freezing point...
JEE AdvanceChemistryEasy
View Solution
QJEE ADVANCE 20062006
Ammonia is always is added in this reaction. Which of the following must be incorrect?
JEE AdvanceChemistryEasy
View Solution
QJEE ADVANCE 20062006
When ammonia is added to the solution, pH is raised to 11 . Which half-cell reaction is affected by pH...
JEE AdvanceChemistryEasy
View Solution