Competishun Header

Report Issue

JEE Advance 2006
Single Correct Type
Question
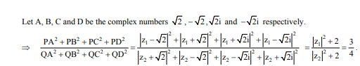
Let ABCD be a square of side length 2 units. $\mathrm{C}_2$ is the circle through vertices $\mathrm{A}, \mathrm{B}, \mathrm{C}, \mathrm{D}$ and $\mathrm{C}_1$ is the circle touching all the sides of the square $\mathrm{ABCD} . \mathrm{L}$ is a line through A .
If P is a point on $\mathrm{C}_1$ and Q in another point on $\mathrm{C}_2$, then $\frac{\mathrm{PA}^2+\mathrm{PB}^2+\mathrm{PC}^2+\mathrm{PD}^2}{\mathrm{QA}^2+\mathrm{OB}^2+\mathrm{QC}^2+\mathrm{OD}^2}$ is equal to
Select the correct option:
A
0.75
B
1.25
C
1
D
0.5
✓ Correct! Well done.
✗ Incorrect. Try again or view the solution.
Solution
Solution Image
Question Tags
JEE Advance
Mathematics
Easy
Start Preparing for JEE with Competishun
Filters 0
JEE Main
JEE Advance
Easy
Medium
Hard
Showing 18 questions
QJEE Advance 20062006
A line M through A is drawn parallel to BD . Point S moves such that its distances from the...
JEE AdvanceMathematicsEasy
View Solution
QJEE Advance 20062006
Two waves $\mathrm{y}_1=\mathrm{A} \cos (0.5 \pi \mathrm{x}-100 \pi \mathrm{t})$ and $y_2=A \cos (0.46 \pi x-92 \pi t)$ are travelling in...
JEE AdvancePhysicsEasy
View Solution
QJEE ADVANCE 20062006
$\mathrm{MgSO}_4$ on reaction with $\mathrm{NH}_4 \mathrm{OH}$ and $\mathrm{Na}_2 \mathrm{HPO}_4$ forms a white crystalline precipitate. What is its formula?
JEE AdvanceChemistryEasy
View Solution
QJEE ADVANCE 20062006
What are N and M ?
JEE AdvanceChemistryEasy
View Solution
QJEE ADVANCE 20062006
The smallest ketone and its next homologue are reacted with $\mathrm{NH}_2 \mathrm{OH}$ to form oxime.
JEE AdvanceChemistryEasy
View Solution
QJEE ADVANCE 20062006
The given graph represents the variation of Z (compressibility factor $=\frac{\mathrm{PV}}{\mathrm{nRT}}$ ) versus P , for three real gases $...
JEE AdvanceChemistryEasy
View Solution
QJEE ADVANCE 20062006
The major products P and Q are
JEE AdvanceChemistryEasy
View Solution
QJEE Advance 20062006
A ball moves over a fixed track as shown in the figure. From $A$ to $B$ the ball rolls without...
JEE AdvancePhysicsEasy
View Solution
QJEE Advance 20062006
An infinite current carrying wire passes through point O and in perpendicular to the plane containing a current carrying loop...
JEE AdvancePhysicsEasy
View Solution
QJEE ADVANCE 20062006
Which of the following reactants on reaction with conc. NaOH followed by acidification gives the following lactone as the only...
JEE AdvanceChemistryEasy
View Solution
QJEE Advance 20062006
The graph between $1 / \lambda$ and stopping potential (V) of three metals having work functions $\phi_1, \phi_2$ and $\phi_3$...
JEE AdvancePhysicsEasy
View Solution
QJEE Advance 20062006
In a dark room with ambient temperature $\mathrm{T}_0$, a black body is kept at a temperature T . Keeping the...
JEE AdvancePhysicsEasy
View Solution
QJEE ADVANCE 20062006
The species present in solution when $\mathrm{CO}_2$ is dissolved in water are
JEE AdvanceChemistryEasy
View Solution
QJEE Advance 20062006
A circle touches the line L and the circle $\mathrm{C}_1$ externally such that both the circles are on the same...
JEE AdvanceMathematicsEasy
View Solution
QJEE Advance 20062006
Function $\mathrm{x}=\mathrm{A} \sin ^2 \omega \mathrm{t}+\mathrm{B} \cos ^2 \omega \mathrm{t}+\mathrm{C} \sin \omega \mathrm{t} \cos \omega \mathrm{t}$ represents SHM
JEE AdvancePhysicsEasy
View Solution
QJEE ADVANCE 20062006
If the bond length of CO bond in carbon monoxide is $1.128 \AA$, then what is the value of CO...
JEE AdvanceChemistryEasy
View Solution
QJEE Advance 20062006
Let ABCD be a square of side length 2 units. $\mathrm{C}_2$ is the circle through vertices $\mathrm{A}, \mathrm{B}, \mathrm{C}, \mathrm{D}$...
JEE AdvanceMathematicsEasy
View Solution
QJEE Advance 20062006
If $\mathrm{f}^{\prime}(\mathrm{x})<0 \forall \mathrm{x} \in(\mathrm{a}, \mathrm{b})$ and c is a point such that $\mathrm{a}<\mathrm{c}<\mathrm{b}$, and (c, $\left.\mathrm{f}(\mathrm{c})\right)$ is the point lying on the curve for which $\mathrm{F}(\mathrm{c})$ is maximum, then $f^{\prime}(c)$ is equal to
JEE AdvanceMathematicsEasy
View Solution