Competishun Header

Report Issue

JEE MAIN 2024
27-01-2024 SHIFT-1
Question
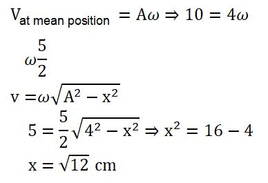
A particle executes simple harmonic motion with an amplitude of 4 cm . At the mean position, velocity of the particle is $10 \mathrm{~cm} / \mathrm{s}$. The distance of the particle from the mean position when its speed becomes $5 \mathrm{~cm} / \mathrm{s}$ is $\sqrt{\alpha} \mathrm{cm}$, where $\alpha=$
Write Your Answer
✓ Correct! Well done.
✗ Incorrect. Try again or view the solution.
Solution
Solution Image
Question Tags
JEE Main
Physics
Easy
Start Preparing for JEE with Competishun
Filters 0
JEE Main
JEE Advance
Easy
Medium
Hard
Showing 18 questions
QJEE Advance 20202020
A solution of 0.1 M weak base (B) is titrated with 0.1 M of a strong acid (HA). The variation...
JEE AdvanceChemistryEasy
View Solution
QJEE Advanced 20202020
Choose the correct statement(s) among the following :
JEE AdvanceChemistryEasy
View Solution
QJEE Advance 20082008
Match the compounds in Column I with their characteristic test(s)/reactions(s) given in Column II. Indicate your answer by darkening the...
JEE AdvanceChemistryEasy
View Solution
QJEE Advance 20082008
Match the entries in Column I with the correctly related quantum number(s) in Column II. Indicate your answer by darkening...
JEE AdvanceChemistryEasy
View Solution
QJEE Advance 20082008
Match the conversions in Column I with the type(s) of reaction(s) given in Column II. Indicate your answer by darkening...
JEE AdvanceChemistryEasy
View Solution
QJEE Advance 20082008
In hexagonal systems of crystals, a frequently encountered arrangement of atoms is described as a hexagonal prism. Here, the top...
JEE AdvanceChemistryEasy
View Solution
QJEE Advance 20082008
In hexagonal systems of crystals, a frequently encountered arrangement of atoms is described as a hexagonal prism. Here, the top...
JEE AdvanceChemistryEasy
View Solution
QJEE Advance 20082008
In hexagonal systems of crystals, a frequently encountered arrangement of atoms is described as a hexagonal prism. Here, the top...
JEE AdvanceChemistryEasy
View Solution
QJEE Advance 20082008
STATEMENT-1 : Aniline on reaction with $\mathrm{NaNO}_2 / \mathrm{HCl}$ at $0^{\circ} \mathrm{C}$ followed by coupling with $\beta$-naphthol gives a dark...
JEE AdvanceChemistryEasy
View Solution
QJEE Advance 20082008
STATEMENT-1 For an observer looking out through the window of a fast moving train, the nearby objects appear to move...
JEE AdvancePhysicsEasy
View Solution
QJEE Advance 20082008
STATEMENT-1: There is a natural asymmetry between converting work to heat and converting heat to work and
STATEMENT-2: No...
JEE AdvanceChemistryEasy
View Solution
QJEE Advance 20082008
STATEMENT-1: The geometrical isomers of the complex $\left[\mathrm{M}\left(\mathrm{NH}_3\right)_4 \mathrm{Cl}_2\right]$ are optically inactive. and
STATEMENT-2: Both geometrical isomers of the...
JEE AdvanceChemistryEasy
View Solution
QJEE Advance 20082008
STATEMENT-1 The sensitivity of a moving-coil galvanometer is increased by placing a suitable magnetic material as a core inside the...
JEE AdvancePhysicsEasy
View Solution
QJEE Advance 20082008
STATEMENT-1: $\left[\mathrm{Fe}\left(\mathrm{H}_2 \mathrm{O}\right)_5 \mathrm{NO}\right] \mathrm{SO}_4$ is paramagnetic.
and
STATEMENT-2: The Fe in $\left[\mathrm{Fe}\left(\mathrm{H}_2 \mathrm{O}\right)_5 \mathrm{NO}\right] \mathrm{SO}_4$ has three...
JEE AdvanceChemistryEasy
View Solution
QJEE Advance 20082008
STATEMENT-1 For practical purposes, the earth is used as a reference at zero potential in electrical circuits. and STATEMENT-2 The...
JEE AdvancePhysicsEasy
View Solution
QJEE Advance 20082008
Cellulose upon acetylation with excess acetic anhydride/ $\mathrm{H}_2 \mathrm{SO}_4$ (catalytic) gives cellulose triacetate whose structure is
JEE AdvanceChemistryEasy
View Solution
QJEE Advance 20082008
STATEMENT -1 It is easier to pull a heavy object than to push it on a level ground. and STATEMENT...
JEE AdvancePhysicsEasy
View Solution
QJEE Advance 20082008
A radioactive sample S 1 having an activity of $5 \mu \mathrm{Ci}$ has twice the number of nuclei as another...
JEE AdvancePhysicsEasy
View Solution