Competishun Header

Report Issue

JEE Advanced 2020
`Paper-2 2020
Question
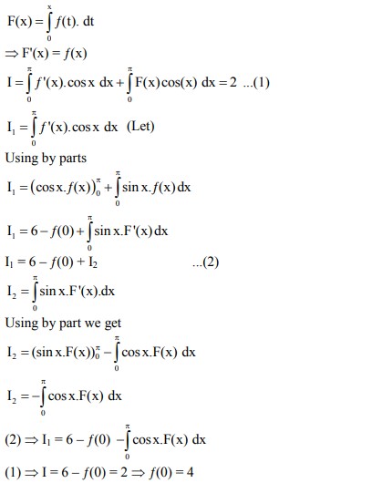
Let 𝑓:ℝ→ℝ be a differentiable function such that its derivative 𝑓′ is continuous and Ζ’(πœ‹) = βˆ’6.
If $F:[0, \pi] \rightarrow \mathbb{R}$ is defined by $F(x)=\int_0^{\mathrm{x}} f(\mathrm{t}) \mathrm{dt}$, and if
$ \int_0^\pi\left(f^{\prime}(\mathrm{x})+\mathrm{F}(\mathrm{x})\right) \cos \mathrm{x} \mathrm{dx}=2 $
then the value of $f(0)$ is $\_\_\_\_$
Write Your Answer
βœ“ Correct! Well done.
βœ— Incorrect. Try again or view the solution.
Solution
Solution Image
Question Tags
JEE Advance
Mathematics
Easy
Start Preparing for JEE with Competishun
Video Solution
BY competishun
Video Solution
Watch Solution
Filters 0
JEE Main
JEE Advance
Easy
Medium
Hard
Showing 18 questions
QJEE MAIN_2026
An unpolarized light is incident on the plane interface of air-dielectric medium shown in figure. If the incident angle is...
JEE MainPhysicsHard
View Solution→
QJEE MAIN_2026
The voltage and the current between A and B points shown in the circuit are _____.
JEE MainPhysicsMedium
View Solution→
QJEE Main 20262026
For the given molecule, "x", the preferred site for the attack of the electrophile is :
JEE MainChemistryEasy
View Solution→
QJEE Mains 20262026
In IUPAC nomenclature, the correct order of decreasing priority of functional group is:
JEE MainChemistryEasy
View Solution→
QJEE Main 20262026
Given below are two statements:
Statement (I) : Benzyl chloride reacts faster in $\mathrm{S}_{\mathrm{N}} 1$ mechanism than ethyl chloride.
...
JEE MainPhysicsEasy
View Solution→
QJEE MAIN_2026
Consider a circuit consisting of a capacitor $(20 \mu \mathrm{~F})$, resistor $(100 \Omega)$ and two identical diodes as shown in...
JEE MainPhysicsMedium
View Solution→
QJEE MAIN_2026
Given below are two statements:
Statement (I) : 1, 2, 3-Trihydroxypropane can be separated from water by simple distillation.
Statement...
JEE MainChemistryEasy
View Solution→
QJEE MAIN_2026
An insulated wire is wound so that it forms a flat coil with $\mathrm{N}=200$ turns. The radius of the innermost...
JEE MainPhysicsHard
View Solution→
QJEE Main 20262026
Match List - I with List - II.
List - I List - II
JEE MainChemistryEasy
View Solution→
QJEE MAIN_2026
A parallel plate air capacitor is connected to a battery. The plates are pulled apart at uniform speed $v$. If...
JEE MainPhysicsMedium
View Solution→
QJEE MAIN_2026
A rod of length 10 cm lies along the principle axis of a concave mirror of focal length 10 cm...
JEE MainPhysicsEasy
View Solution→
QJEE MAIN_2026
Two 4 bits binary numbers, $\mathrm{A}=1101$ and $\mathrm{B}=1010$ are given in the inputs of a logic circuit shown in figure...
JEE MainPhysicsEasy
View Solution→
QJEE MAIN_2026
A voltmeter with internal resistance of $x \Omega$ can be used to measure upto 20 V . In order to...
JEE MainPhysicsEasy
View Solution→
QJEE MAIN_2026
One gas of $n_1$ mole of molecules at temperature $T_1$, volume $V_1$, and pressure $P_1$, and another gas of $n_2$...
JEE MainPhysicsEasy
View Solution→
QJEE MAIN_2026
A string A of length 0.314 m and Young's modulus $2 \times 10^{10} \mathrm{~N} / \mathrm{m}^2$ is connected to another...
JEE MainPhysicsMedium
View Solution→
QJEE MAIN_2026
A slit of width $a$ is illuminated by light of wavelength $\lambda$. The linear separation between $1^{\text {st }}$ and...
JEE MainPhysicsEasy
View Solution→
QJEE MAIN_2026
The graph shows variation of stopping potential $V_0$ with the frequency $v$ of the incident radiation for three photosensitive metals...
JEE MainPhysicsEasy
View Solution→
QJEE MAIN_2026
The two projectiles are projected with the same initial velocities at the $15^{\circ}$ and $30^{\circ}$ with respect to the horizontal....
JEE MainPhysicsEasy
View Solution→
Check this project | Best Developer Portfolio