Competishun Header

Report Issue

JEE Advance 2024
Paper-2 2024
Question
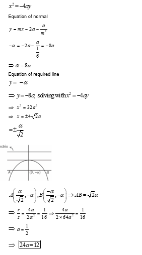
A normal with slope $\frac{1}{\sqrt{6}}$ is drawn from the point $(0,-\alpha)$ to the parabola $x^2=-4 a y$, where $a>0$. Let $I$ be the line passing through $(0,-\alpha)$ and parallel to the directrix of the parabola. Suppose that $L$ intersects the parabola at two points $A$ and $B$. Let $r$ denote the length of the latus rectum and $s$ denote the square of the length of the line segment $A B$. If $r: s=1: 16$, then the value of 24a is $\_\_\_\_$
Write Your Answer
✓ Correct! Well done.
✗ Incorrect. Try again or view the solution.
Solution
Solution Image
Question Tags
JEE Advance
Mathematics
Easy
Start Preparing for JEE with Competishun
Video Solution
BY competishun
Video Solution
Watch Solution
Filters 0
JEE Main
JEE Advance
Easy
Medium
Hard
Showing 18 questions
QJEE Main 20242024
Consider a hyperbola $H$ having centre at the origin and foci and the $x$-axis. Let $C_1$ be the circle touching...
JEE MainMathematicsEasy
View Solution
QJEE Main 20242024
If the coefficients of $x^4, x^5$ and $x^6$ in the expansion of $(1+x)^n$ are in the arithmetic progression, then the...
JEE MainMathematicsEasy
View Solution
QJEE Main 20242024
Let f(x) = 3 $ \sqrt{\mathrm{x}-2}+\sqrt{4-\mathrm{x}}$ be a real valued function. If $\alpha$ and $\beta$ are respectively the minimum and...
JEE MainMathematicsEasy
View Solution
QJEE Main 20242024
If the value of the integral $\int_{-1}^1 \frac{\cos \alpha x}{1+3^x} d x$ is $\frac{2}{\pi}$. Then, a value of $\alpha$ is
JEE MainMathematicsEasy
View Solution
QJEE Main 20242024
The area (in sq. units) of the region $S=\{z \in \mathbb{C} ;|z-1| \leq 2 ;(z+\bar{z})+i(z-\bar{z}) \leq 2, \operatorname{lm}(z) \geq 0\}$...
JEE MainMathematicsEasy
View Solution
QJEE Main 20242024
The area (in sq. units) of the region described by $\left\{(x, y): y^2 \leq 2 x\right.$, and $...
JEE MainMathematicsEasy
View Solution
QJEE Main 20242024
Let $f(x)=\int_0^x\left(t+\sin \left(1-e^t\right)\right) d t, x \in \mathbb{R}$. Then $\lim _{x \rightarrow 0} \frac{f(x)}{x^3}$ is equal to
JEE MainMathematicsEasy
View Solution
QJEE Main 20242024
The value of $\frac{1 \times 2^2+2 \times 3^2+\cdots+100 \times(101)^2}{1^2 \times 2+2^2 \times 3+\cdots+100^2 \times 101}$ is
JEE MainMathematicsEasy
View Solution
QJEE MAIN 20242024
Let ABC be an isosceles triangle in which A is at $(-1,0), \angle A=\frac{2 \pi}{3}, A B=A C$ and $B$...
JEE MainMathematicsEasy
View Solution
QJEE MAIN 20242024
If $\frac{d x}{d y}=\frac{1+x-y^2}{y}, x(1)=1$, then $5 x(2)$ is equal to :
JEE MainMathematicsEasy
View Solution
QJEE Main 20242024
Let $A=\left[\begin{array}{ll}1 & 2 \\ 0 & 1\end{array}\right]$ and $B=I+\operatorname{adj}(A)+(\operatorname{adj} A)^2+\cdots+(\operatorname{adj} A)^{10}$. Then, the sum of all the elements of...
JEE MainMathematicsEasy
View Solution
QJEE Main 20242024
Let three real numbers 𝑎, 𝑏, 𝑐 be in arithmetic progression and a +1, b, c +3 be in geometric...
JEE MainMathematicsEasy
View Solution
QJEE MAIN 20242024
The sum of squares of all possible values of $k$, for which area of the region bounded by the parabolas...
JEE MainMathematicsEasy
View Solution
QJEE Main 20242024
Let a relation R on N x N be defined as : $\left(x_1, y_1\right) R\left(x_2, y_2\right)$ if and only if...
JEE MainMathematicsEasy
View Solution
QJEE MAIN 20242024
Three points $\mathrm{O}(0,0), \mathrm{P}\left(\mathrm{a}, \mathrm{a}^2\right), \mathrm{Q}\left(-\mathrm{b}, \mathrm{b}^2\right), \mathrm{a}>0, \mathrm{~b}>0$, are on the parabola $y=x^2$. Let $S_1$ be the area of...
JEE MainMathematicsEasy
View Solution
QJEE MAIN 20242024
The lines $\mathrm{L}_1, \mathrm{~L}_2, \ldots, \mathrm{I}_{20}$ are distinct. For $\mathrm{n}=1,2,3, \ldots, 10$ all the lines $\mathrm{L}_{2 \mathrm{n}-1}$ are parallel to...
JEE MainMathematicsEasy
View Solution
Q JEE MAIN 20242024
Let $\vec{a}=\hat{\imath}+\hat{\jmath}+\hat{k}, \vec{b}=-\hat{\imath}-8 \hat{\jmath}+2 \hat{k}$ and $\overrightarrow{\mathrm{c}}=4 \hat{\imath}+\mathrm{c}_2 \hat{\jmath}+\mathrm{c}_3 \hat{\mathrm{k}}$ be three vectors such that $\vec{b} \times \vec{a}=\vec{c} \times \vec{a}$....
JEE MainMathematicsEasy
View Solution
QJEE Main 20242024
Let C be a circle with radius $\sqrt{10}$ units and centre at the origin. Let the line $x+y=2$ intersects the...
JEE MainMathematicsEasy
View Solution
Check this project | Best Developer Portfolio