Report Issue

JEE MAIN 2025
07-04-2025 S2
Question
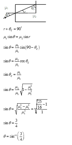
A transparent block A having refractive index $\mu=1.25$ is surrounded by another medium of refractive index $\mu=1.0$ as shown in figure. A light ray is incident on the flat face of the block with incident angle $\theta$ as shown in figure. What is the maximum value of $\theta$ for which light suffers total internal reflection at the top surface of the block?
Question Image
Select the correct option:
A
$\tan ^{-1}(4 / 3)$
B
$\cos ^{-1}(3 / 4)$
C
$\sin ^{-1}(3 / 4)$
D
$\tan ^{-1}(3 / 4)$
✓ Correct! Well done.
✗ Incorrect. Try again or view the solution.
Solution
Solution Image
Question Tags
JEE Main
Physics
Medium
Start Preparing for JEE with Competishun