Skip to content
Competishun Header
Home
Courses
Test Series
Books
Free Resources
Result
Contact Us
Free Resources
Courses
Test Series
JEE Solutions
NCERT PDF
Books
Gallery
Result
Blogs
Watch JEE Free Lectures
↗
Download Our App
↗
Follow Us
Login / Register
Back
Report
Report Issue
×
Wrong Answer
Typo Error
Image Issue
Not Clear
Other
JEE MAIN_2023
S1_01.02.23
Question
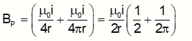
Find the magnetic field at the point P in figure. The curved portion is a semicircle connected to two long straight wires.
Select the correct option:
A
$\frac{\mu_0 \mathrm{i}}{2 r}\left(1+\frac{2}{\pi}\right)$
B
$\frac{\mu_0 \mathrm{i}}{2 \mathrm{r}}\left(1+\frac{1}{\pi}\right)$
C
$\frac{\mu_0 \mathrm{i}}{2 r}\left(\frac{1}{2}+\frac{1}{2 \pi}\right)$
D
$\frac{\mu_0 \mathrm{i}}{2 \mathrm{r}}\left(\frac{1}{2}+\frac{1}{\pi}\right)$
✓ Correct! Well done.
✗ Incorrect. Try again or view the solution.
View Solution
Solution
Question Tags
JEE Main
Physics
Medium
Start Preparing for JEE with Competishun
YouTube
Books
App
Tests
Filters
0
Subject
▾
Exam
▾
JEE Main
JEE Advance
Difficulty
▾
Easy
Medium
Hard
Year
▾
✕ Clear All
Showing
18
questions
Q
JEE Advance 2020
2020
A circular disc of radius $R$ carries surface charge density $\sigma(r)=\sigma_0\left(1-\frac{r}{R}\right)$, where $\sigma_0$ is a constant and $r$ is the...
JEE Advance
Physics
Easy
View Solution
→
Q
JEE Advance 2020
2020
A stationary tuning fork is in resonance with an air column in a pipe. If the tuning fork is moved...
JEE Advance
Physics
Easy
View Solution
→
Q
JEE Advance 2020
2020
Consider one mole of helium gas enclosed in a container at initial pressure $P_1$ and volume $V_1$. It expands isothermally...
JEE Advance
Physics
Easy
View Solution
→
Q
JEE Advance 2020
2020
One end of a spring of negligible unstretched length and spring constant k is fixed at the origin $(0,0)$. A...
JEE Advance
Physics
Easy
View Solution
→
Q
JEE Advance 2020
2020
When water is filled carefully in a glass, one can fill it to a height $h$ above the rim of...
JEE Advance
Physics
Easy
View Solution
→
Q
JEE Advance 2020
2020
Put a uniform meter scale horizontally on your extended index fingers with the left one at 0.00 cm and the...
JEE Advance
Physics
Easy
View Solution
→
Q
JEE Advance 2020
2020
As shown schematically in the figure, two vessels contain water solutions (at temperature $T$ ) of potassium permanganate $\left(\mathrm{KMnO}_4\right)$ of...
JEE Advance
Physics
Easy
View Solution
→
Q
JEE Advance 2020
2020
Shown in the figure is a semicircular metallic strip that has thickness $t$ and resistivity $\rho$. Its inner radius is...
JEE Advance
Physics
Easy
View Solution
→
Q
JEE Advance 2020
2020
A uniform electric field, $\vec{E}=-400 \sqrt{3} \hat{y} \mathrm{NC}^{-1}$ is applied in a region. A charged particle of mass m carrying...
JEE Advance
Physics
Easy
View Solution
→
Q
JEE Advance 2020
2020
Sometimes it is convenient to construct a system of units so that all quantities can be expressed in terms of...
JEE Advance
Physics
Easy
View Solution
→
Q
JEE Advance 2020
2020
The filament of a light bulb has surface area $64 \mathrm{~mm}^2$. The filament can be considered as a black body...
JEE Advance
Physics
Easy
View Solution
→
Q
JEE Advance 2020
2020
A particle of mass m moves in circular orbits with potential energy $\mathrm{V}(\mathrm{r})=F r$, where F is a positive constant...
JEE Advance
Physics
Easy
View Solution
→
Q
JEE Advance 2020
2020
An open-ended U-tube of uniform cross-sectional area contains water (density $10^3 \mathrm{~kg} \mathrm{~m}^{-3}$ ). Initially the water level stands at...
JEE Advance
Physics
Easy
View Solution
→
Q
JEE Advance2018
For every twice differentiable function $f: R \rightarrow[-2,2]$ with $(f(0))^2+\left(f^{\prime}(0)\right)^2=85$, which of the following statement(s) is (are) TRUE ?
JEE Advance
Mathematics
Easy
View Solution
→
Q
JEE Advance 2020
2020
A parallel beam of light strikes a piece of transparent glass having cross section as shown in the figure below....
JEE Advance
Physics
Easy
View Solution
→
Q
JEE Advance 2020
2020
Therefore relative displacement (with respect to centre of roller) is $(75-50) \mathrm{cm}=25 \mathrm{~cm}$. A circular coil of radius R and...
JEE Advance
Physics
Easy
View Solution
→
Q
JEE Advance 2020
2020
A small roller of diameter 20 cm has an axle of diameter 10 cm (see figure below on the left)....
JEE Advance
Physics
Easy
View Solution
→
Q
JEE Advance2021
The pair(s) of complexes wherein both exhibit tetrahedral geometry is(are) (Note: py = pyridine Given: Atomic numbers of $...
JEE Advance
Chemistry
Easy
View Solution
→
Load More Questions
Scan the code
Powered by
Joinchat
Hello 👋 Welcome to Competishun – India’s most trusted platform for JEE & NEET preparation.
Need help with JEE / NEET courses, fees, batches, test series or free study material? Chat with us now 👇
Open Chat