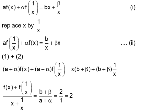
If $a+\alpha=1, b+\beta=2$ and $a f(x)+\alpha f\left(\frac{1}{x}\right)=b x+\frac{\beta}{x}, x \neq 0$, then the value of expression $\frac{f(x)+f\left(\frac{1}{x}\right)}{x+\frac{1}{x}}$ is $\_\_\_\_$ .
Hello 👋 Welcome to Competishun – India’s most trusted platform for JEE & NEET preparation. Need help with JEE / NEET courses, fees, batches, test series or free study material? Chat with us now 👇