Report Issue

JEE MAIN 2024
05-04-2024 S1
Question
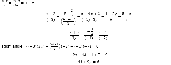
If the line $\frac{2-x}{3}=\frac{3 y-2}{4 \lambda+1}=4-z$ makes a right angle with the line $\frac{x+3}{3 \mu}=\frac{1-2 y}{6}=\frac{5-z}{7}$, then $4 \lambda+9 \mu$ is equal to :
Select the correct option:
A
13
B
4
C
5
D
6
✓ Correct! Well done.
✗ Incorrect. Try again or view the solution.
Solution
Solution Image
Question Tags
JEE Main
Mathematics
Easy
Start Preparing for JEE with Competishun