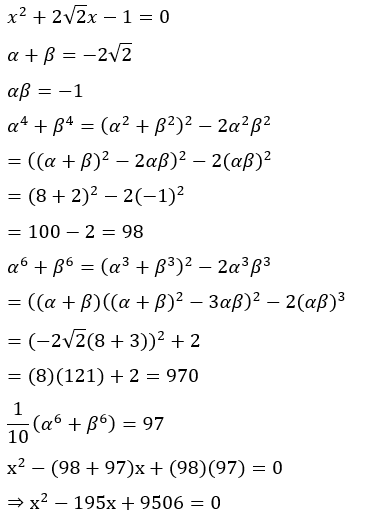
Let α,β be the roots of the equation $x^2+2 \sqrt{2} x-1=0$. . The quadratic equation, whose roots are $\alpha^4+\beta^4$ and $\frac{1}{10}\left(\alpha^6+\beta^6\right)$, is :
Hello 👋 Welcome to Competishun – India’s most trusted platform for JEE & NEET preparation. Need help with JEE / NEET courses, fees, batches, test series or free study material? Chat with us now 👇