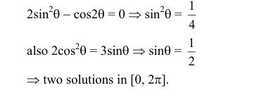
The number of solutions of the pair of equations
$$
\begin{aligned}
& 2 \sin ^2 \theta-\cos 2 \theta=0 \\
& 2 \cos ^2 \theta-3 \sin \theta=0
\end{aligned}
$$
in the interval $[0,2 \pi]$ is
Hello 👋 Welcome to Competishun – India’s most trusted platform for JEE & NEET preparation. Need help with JEE / NEET courses, fees, batches, test series or free study material? Chat with us now 👇