Competishun Header

Report Issue

Polymers

Get chapter-wise JEE Main & Advanced questions with solutions

Q JEE MAIN 2019
The correct sequence of amino acids present in the tripeptide given below is : The given tripeptide contains.
JEE Main Chemistry Easy
View Solution
Q JEE MAIN 2019
The major product of the following reaction is
JEE Main Chemistry Medium
View Solution
Q JEE MAIN 2019
The correct name of the following polymer is
JEE Main Chemistry Easy
View Solution
Q JEE MAIN 2019
The correct sequence of amino acids present in the tripeptide given below is : The given tripeptide contains.
JEE Main Chemistry Easy
View Solution
Q JEE-MAIN 2019
Poly- $\beta$-hydroxybutyrate-co- $\beta$-hydroxyvalerate (PHBV) is a copolymer of $\_\_\_\_$ .
JEE Main Chemistry Easy
View Solution
Q JEE MAIN 2019
The two monomers for the synthesis of nylon 6, 6 are
JEE Main Chemistry Medium
View Solution
Q JEE MAIN 2020
Consider the Assertion and Reason given below. Assertion (A) : Ethene polymerized in the presence of Ziegler Natta Catalyst at...
JEE Main Chemistry Medium
View Solution
Q JEE MAIN 2020
The correct match between Item - I and Item – II is
JEE Main Chemistry Easy
View Solution
Q JEE MAIN 2019
Peroxyacetyl nitrate (PAN), an eye irritant is produced by
JEE Main Chemistry Easy
View Solution
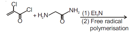
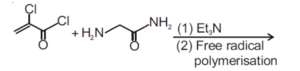
Q JEE MAIN 2019
The polymer obtained from the following reactions is
JEE Main Chemistry Medium
View Solution
Q JEE MAIN 2019
JEE Main Chemistry Easy
View Solution
Q JEE-MAIN 2020
Which one of the following polymers is not obtained by condensation polymerisation?
JEE Main Chemistry Easy
View Solution
Q JEE Main 2019
The correct structure of product ‘P’ in the following reaction is
JEE Main Chemistry Easy
View Solution
Q JEE MAIN 2019
The homopolymer formed from 4-hydroxy-butanoic acids is :
JEE Main Chemistry Easy
View Solution
Q JEE MAIN 2020
Which polymer has ‘chiral’ monomer(s)?
JEE Main Chemistry Easy
View Solution
Q JEE MAIN 2019
Which of the following compounds is a constituent of the polymer
JEE Main Chemistry Easy
View Solution
Q JEE MAIN 2021
Which among the following is not a polyester ?
JEE Main Chemistry Easy
View Solution
Q JEE MAIN 2021
The polymer formed on heating Novolac with formaldehyde is :
JEE Main Chemistry Easy
View Solution
Q JEE-MAIN 2021
Monomer units of Dacron polymer are :
JEE Main Chemistry Easy
View Solution
Q JEE MAIN 2021
Monomer units of Dacron polymer are
JEE Main Chemistry Easy
View Solution
Q JEE MAIN 2021
Monomer of Novolac is :
JEE Main Chemistry Easy
View Solution
Q JEE MAIN 2021
Orlon fibres are made up of :
JEE Main Chemistry Easy
View Solution
Q JEE MAIN 2021
Match List-I with List-II :
JEE Main Chemistry Easy
View Solution
Q JEE MAIN 2021
A biodegradable polyamide can be made from:
JEE Main Chemistry Easy
View Solution
Q JEE MAIN 2021
Bakelite is a cross-linked polymer of formaldehyde and :
JEE Main Chemistry Easy
View Solution
Q JEE MAIN 2021
is a repeating unit for :
JEE Main Chemistry Easy
View Solution
Q JEE MAIN 2019
The structure of Nylon-6 is
JEE Main Chemistry Easy
View Solution
Q JEE Main 2019
Major product of the following reaction is
JEE Main Chemistry Hard
View Solution
Q JEE Main 2019
Correct statements among a to d regarding silicones are (a) They are polymers with hydrophobic character (b) They are biocompatible...
JEE Main Chemistry Easy
View Solution
Q JEE MAIN 2021
Which of the following polymer is used in the manufacture of wood laminates?
JEE Main Chemistry Easy
View Solution
Q JEE MAIN 2021
Match List I with List II.
JEE Main Chemistry Medium
View Solution
Q JEE MAIN 2021
The structure of Neoprene is –
JEE Main Chemistry Easy
View Solution
Q JEE MAIN 2021
Which statement is correct ?
JEE Main Chemistry Easy
View Solution
Q JEE MAIN 2022
Vulcanization of rubber is carried out by heating a mixture of :
JEE Main Chemistry Easy
View Solution
Q JEE MAIN 2022
Match List-I with List-II. Choose the correct answer from the option given below:
JEE Main Chemistry Easy
View Solution
Q JEE-Main 2022
Melamine polymer is formed by the condensation of :
JEE Main Chemistry Easy
View Solution
Q JEE MAIN 2022
Given below are two statements : one is labelled as Assertion A and the other is labelled as Reason R....
JEE Main Chemistry Easy
View Solution
Q JEE MAIN 2022
Given below are two statements, one is Assertion (A) and other is Reason (R). Assertion (A) : Natural rubber is...
JEE Main Chemistry Easy
View Solution
Q JEE MAIN 2022
Given below are two statements. Statement I: Maltose has two $\alpha$-D-glucose units linked at $\mathrm{C}_1$ and $\mathrm{C}_4$ and is a...
JEE Main Chemistry Easy
View Solution
Q JEE MAIN 2022
Which is true about Buna-N?
JEE Main Chemistry Easy
View Solution
Q JEE MAIN 2022
The Novolac polymer has mass of 963 g. The number of monomer units present in it are
JEE Main Chemistry Easy
View Solution
Q [JEE-Main 2022
Which of the following is not an example of a condensation polymer?
JEE Main Chemistry Easy
View Solution
Q JEE MAIN 2022
Which one of the following is NOT a copolymer ?
JEE Main Chemistry Easy
View Solution
Q JEE MAIN 2022
The polymer, which can be stretched and retains its original status on releasing the force is
JEE Main Chemistry Easy
View Solution
Q JEE MAIN 2022
Match List-I with List-II Choose the correct answer from the options given below:
JEE Main Chemistry Easy
View Solution
Q JEE MAIN 2022
Which of the following sets are correct regarding polymer ? (A) Copolymer : Buna–S (B) Condensation polymer : Nylon–6,6 (C)...
JEE Main Chemistry Easy
View Solution
Q JEE-Main 2022
Which of the following is an example of polyester?
JEE Main Physics Easy
View Solution
Q JEE MAIN 2023
Match List I with List II
JEE Main Chemistry Easy
View Solution
Q JEE MAIN 2023
Given below are two statements: Statements I: Ethene at 333 to 343 K and $6-7 \mathrm{~atm}$ pressure in the presence...
JEE Main Chemistry Easy
View Solution
Q JEE MAIN 2023
Buna-S can be represented as
JEE Main Chemistry Medium
View Solution
Q JEE MAIN 0223
Match List I with List II
JEE Main Chemistry Easy
View Solution
Q JEE MAIN 2023
Match List–I and List–II. Choose the correct answer from the options given below:
JEE Main Chemistry Easy
View Solution
Q JEE MAIN 2023
Match the following
JEE Main Chemistry Easy
View Solution
Q JEE MAIN 2023
Match List I with List II:
JEE Main Chemistry Easy
View Solution
Q JEE MAIN 2023
Match List I with List II Choose the correct answer from the options given below:
JEE Main Chemistry Easy
View Solution
Q JEE MAIN 2023
Match List I with List II Choose the correct answer from the options given below:
JEE Main Chemistry Medium
View Solution
Q JEE MAIN 2023
The polymer X–consists of linear molecules and is closely packed. It is prepared in the presence of triethylaluminium and titanium...
JEE Main Chemistry Medium
View Solution
Q JEE MAIN 2023
Polymer used in orlon is:
JEE Main Chemistry Easy
View Solution
Q JEE MAIN 2023
Following chromatogram was developed by adsorption of compound ‘A’ on a 6 cm TLC glass plate. Retardation factor of the...
JEE Main Chemistry Easy
View Solution
Q JEE MAIN 2023
Compound that will give positive Lassaigne’s test for both nitrogen and halogen is
JEE Main Chemistry Easy
View Solution
Q JEE-Main_2023
Caprolactam when heated at high temperature in presence of water, gives
JEE Main Chemistry Easy
View Solution
Check this project | Best Developer Portfolio