Competishun Header

Report Issue

JEE MAIN 2023
30-01-2023 S2
Question
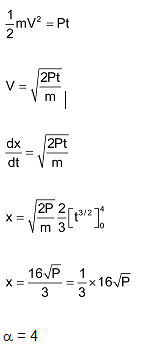
A body of mass 2 kg is initially at rest. It starts moving unidirectionally under the influence of a source of constant power P. Its displacement in 4s is $\frac{1}{3} \alpha^2 \sqrt{\mathrm{P}} \alpha^{2 \sqrt{\mathrm{P}}}$ m. The value of a will be......
Write Your Answer
✓ Correct! Well done.
✗ Incorrect. Try again or view the solution.
Solution
Solution Image
Question Tags
JEE Main
Physics
Hard
Start Preparing for JEE with Competishun
Filters 0
JEE Main
JEE Advance
Easy
Medium
Hard
Showing 18 questions
QJee Main 20242024
The number of solutions, of the equation $\mathrm{e}^{\sin x}-2 \mathrm{e}^{-\sin x}=2$ is
JEE MainMathematicsMedium
View Solution
QJEE MAIN 20242024
Let $S_n$ denote the sum of the first $n$ terms of an arithmetic progression. If $S_{10}=390$ and the ratio of...
JEE MainMathematicsEasy
View Solution
QJee Main 20242024
Consider the function $\mathrm{f}:(0, \infty) \rightarrow \mathrm{R}$ defined by $...
JEE MainMathematicsEasy
View Solution
QJee Main 20242024
Let $\overrightarrow{\mathrm{OA}}=\overrightarrow{\mathrm{a}}, \overrightarrow{\mathrm{OB}}=12 \overrightarrow{\mathrm{a}}+4 \overrightarrow{\mathrm{~b}}$ and $\overrightarrow{\mathrm{OC}}=\overrightarrow{\mathrm{b}}$, where O is the origin. If $S$ is the parallelogram with adjacent sides...
JEE MainMathematicsMedium
View Solution
QJee Main 20242024
If the function $\mathrm{f}:(-\infty,-1] \rightarrow(\mathrm{a}, \mathrm{b}]$ defined by $f(x)=e^{x 3-3 x+1}$ is one-one and onto, then the distance of the...
JEE MainMathematicsMedium
View Solution
QJee Main 20242024
Let the mean and the variance of 6 observation $a, b, 68,44,48,60$ be 55 and 194 , respectively if $a>b$,...
JEE MainMathematicsMedium
View Solution
QJee Main 20242024
The sum of the solutions $x \in \mathbb{R}$ of the equation $...
JEE MainMathematicsHard
View Solution
QJee Main 20242024
\text { The area of the region enclosed by the parabola } y=4 x-x^2 \text { and } 3 y=(x-4)^2...
JEE MainMathematicsEasy
View Solution
QJEE Main 20242024
The current flowing through the $1 \Omega$ resistor is $\frac{n}{10}$ A. The value of $n$ is
JEE MainPhysicsHard
View Solution
QJEE MAIN 20242024
Consider a $\triangle \mathrm{ABC}$ where $\mathrm{A}(1,2,3), \mathrm{B}(-2,8,0)$ and $\mathrm{C}(3,6,7)$. If the angle bisector of $\angle \mathrm{BAC}$ meets the line $...
JEE MainMathematicsEasy
View Solution
QJee Main 20242024
Let $\mathrm{f}: \rightarrow \mathrm{R} \rightarrow(0, \infty)$ be strictly increasing function such that $\lim _{\substack{x \rightarrow \infty \\ f(x)}} \frac{f(7 x)}{2}=1$....
JEE MainMathematicsEasy
View Solution
QJee Main 20242024
Let $r$ and $\theta$ respectively be the modulus and amplitude of the complex number $z=2-i\left(2 \tan \frac{5 \pi}{8}\right)$, then $...
JEE MainMathematicsMedium
View Solution
QJEE MAIN 20242024
Let $P$ and $Q$ be the points on the line $\frac{x+3}{8}=\frac{y-4}{2}=\frac{z+1}{2}$ which are at a distance of 6 units from...
JEE MainMathematicsEasy
View Solution
QJEE Main 20242024
The position, velocity and acceleration of a particle executing simple harmonic motion are found to have magnitudes of $...
JEE MainPhysicsMedium
View Solution
QJEE Main 20242024
A charge q is placed at the center of one of the surface of a cube. The flux linked with...
JEE MainPhysicsEasy
View Solution
Q Jee Main 20242024
Let $2^{\text {nd }}, 8^{\text {th }}$ and $44^{\text {th }}$, terms of a non-constant A.P. be respectively the $...
JEE MainMathematicsEasy
View Solution
Q JEE Main 20242024
When a coil is connected across a 20 V dc supply, it draws a current of 5 A . When...
JEE MainPhysicsHard
View Solution
QJEE-Main 20242024
Let $A$ and $B$ be two finite sets with $m$ and $n$ elements respectively. The total number of subsets of...
JEE MainMathematicsEasy
View Solution
Check this project | Best Developer Portfolio