Competishun Header

Report Issue

JEE Advance 2009
Paper-1
Question
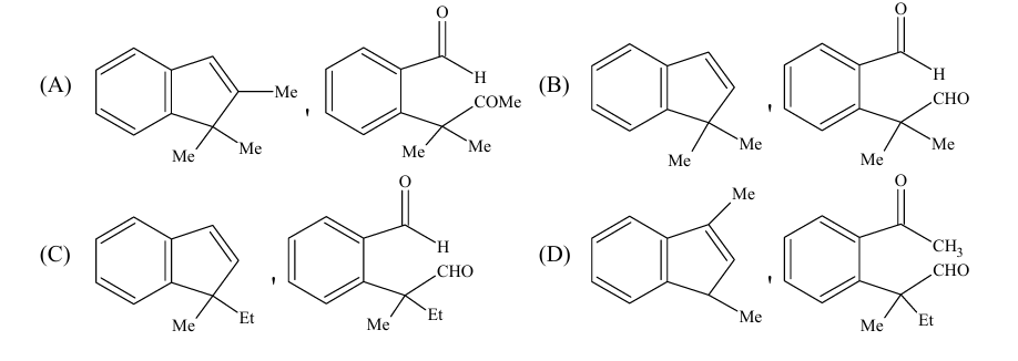
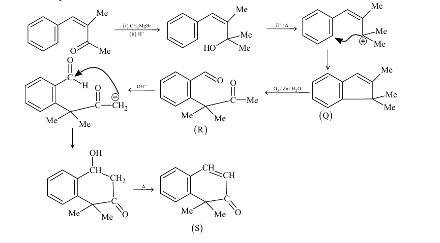
A carbonyl compound $\mathbf{P}$, which gives positive iodoform test, undergoes reaction with MeMgBr followed by dehydration to give an olefin $\mathbf{Q}$. Ozonolysis of $\mathbf{Q}$ leads to a dicarbonyl compound $\mathbf{R}$, which undergoes intramolecular aldol reaction to give predominantly $\mathbf{S}$. $$ \mathbf{P} \xrightarrow[\substack{2 . \mathrm{H}^{+}, \mathrm{H}_2 \mathrm{O} \\ 3 . \mathrm{H}_2 \mathrm{SO}_4, \Delta}]{\text { 1. } \mathrm{MeMgBr}} \mathbf{Q} \xrightarrow[\text { 2. } \mathrm{Zn}, \mathrm{H}_2 \mathrm{O}]{\text { 1. } \mathrm{O}_3} \mathbf{R} \xrightarrow[\text { 2. } \Delta]{\text { 1. } \mathrm{OH}^{-}} \mathbf{S} $$ The structure of the products $Q$ and $R$, respectively, are
Options
Options Image
A
B
C
D
✓ Correct! Well done.
✗ Incorrect. Try again or view the solution.
Solution
Solution Image
Question Tags
JEE Advance
Chemistry
Easy
Start Preparing for JEE with Competishun
Filters 0
JEE Main
JEE Advance
Easy
Medium
Hard
Showing 18 questions
QJEE Main 20242024
A proton and a deutron ( $\mathrm{q}=+\mathrm{e}, m=2.0 \mathrm{u}$ ) having same kinetic energies enter a region of uniform magnetic...
JEE MainPhysicsEasy
View Solution
QJEE Main 20242024
The effective resistance between A and B, if resistance of each resistor is R, will be
JEE MainPhysicsEasy
View Solution
QJEE Main 20242024
A satellite of $10^3 \mathrm{~kg}$ mass is revolving in circular orbit of radius 2 R . If $\frac{10^4 \mathrm{R}}{6} J$...
JEE MainPhysicsEasy
View Solution
QJEE Main 20242024
The de-Broglie wavelength associated with a particle of mass $m$ and energy $E$ is $\mathrm{h} / \sqrt{2 m E}$. The...
JEE MainPhysicsEasy
View Solution
QJEE Main 20242024
The excess pressure inside a soap bubble is thrice the excess pressure inside a second soap bubble. The ratio between...
JEE MainPhysicsEasy
View Solution
QJEE Main 20242024
Two cars are travelling towards each other at speed of $20 \mathrm{~m} \mathrm{~s}^{-1}$ each. When the cars are 300 m...
JEE MainPhysicsEasy
View Solution
QJEE Main 20242024
The magnetic field in a plane electromagnetic wave is $...
JEE MainPhysicsEasy
View Solution
QJEE Main 20242024
A hydrogen atom in ground state is given an energy of 10.2 eV. How many spectral lines will be emitted...
JEE MainPhysicsEasy
View Solution
QJEE Main 20242024
The temperature of a gas is –78° C and the average translational kinetic energy of its molecules is K. The...
JEE MainPhysicsEasy
View Solution
QJEE Main 20242024
The following figure represents two biconvex lenses $\mathrm{L}_1$ and $\mathrm{L}_2$ having focal length 10 cm and 15 cm respectively. The...
JEE MainPhysicsEasy
View Solution
QJEE Main 20242024
A nucleus at rest disintegrates into two smaller nuclei with their masses in the ratio of 2:1. After disintegration they...
JEE MainPhysicsEasy
View Solution
QJEE Main 20242024
Let y=y(x) be the solution of the differential equation $(x+y+2)^2 d x=d y, y(0)=-2$. Let the maximum and minimum values...
JEE MainMathematicsEasy
View Solution
QJEE Main 20242024
Consider a line L passing through the points $\mathrm{P}(1,2,1)$ and $\mathrm{Q}(2,1,-1)$. If the mirror image of the point $\mathrm{A}(2,2,2)$ in...
JEE MainMathematicsEasy
View Solution
QJEE Main 20242024
Consider a triangle ABC having the vertices $\mathrm{A}(1,2), \mathrm{B}(\alpha, \beta)$ and $\mathrm{C}(\gamma, \delta)$ and angles $\angle \mathrm{ABC}=\frac{\pi}{6}$ and $...
JEE MainMathematicsEasy
View Solution
QJEE Main 20242024
In a tournament, a team plays 10 matches with probabilities of winning and losing each match as $\frac{1}{3}$ and $\frac{2}{3}$...
JEE MainMathematicsEasy
View Solution
QJEE Main 20242024
There are 4 men and 5 women in Group A, and 5 men and 4 women in Group B. If...
JEE MainMathematicsEasy
View Solution
QJEE Main 20242024
Let 𝐴 be a 2 × 2 symmetric matrix such that $A\left[\begin{array}{l}1 \\ 1\end{array}\right]=\left[\begin{array}{l}3 \\ 7\end{array}\right]$ and the determinant of...
JEE MainMathematicsEasy
View Solution
QJEE Main 20242024
Consider the function $\mathrm{f}: \mathbb{R} \rightarrow \mathbb{R}$ defined by $f(x)=\frac{2 x}{\sqrt{1+9 x^2}}$. If the composition of $...
JEE MainMathematicsEasy
View Solution
Check this project | Best Developer Portfolio