Report Issue

JEE MAIN 2025
28-01-2025 SHIFT-2
Question
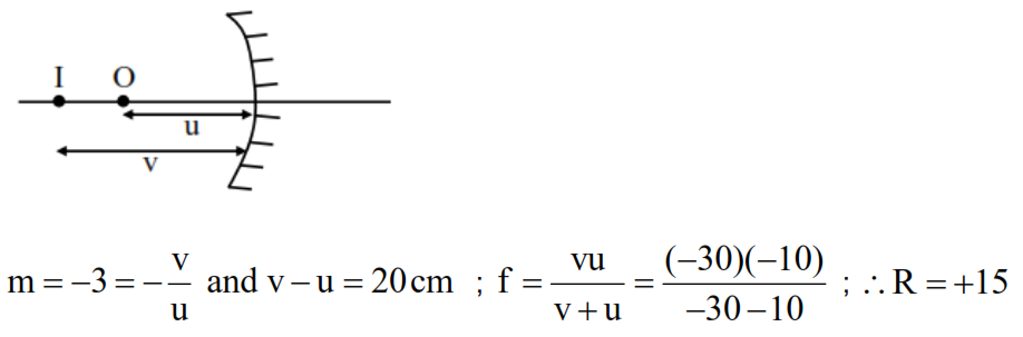
A concave mirror produces an image of an object such that the distance between the object and image is 20 cm . If the magnification of the image is ' -3 ', then the magnitude of the radius of curvature of the mirror is :
Select the correct option:
A
7.5 cm
B
30 cm
C
3.75 cm
D
15 cm
✓ Correct! Well done.
✗ Incorrect. Try again or view the solution.
Solution
Solution Image
Question Tags
JEE Main
Physics
Easy
Start Preparing for JEE with Competishun