Skip to content
Competishun Header
Home
Courses
Test Series
Books
Free Resources
Result
Contact Us
Free Resources
Courses
Test Series
JEE Solutions
NCERT PDF
Books
Gallery
Result
Blogs
Watch JEE Free Lectures
↗
Download Our App
↗
Follow Us
Login / Register
Back
Report
Report Issue
×
Wrong Answer
Typo Error
Image Issue
Not Clear
Other
JEE MAIN 2021
20-07-21 S2
Question
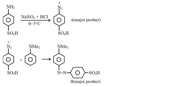
Consider the above reaction, compound B is :
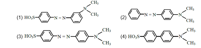
Options
A
B
C
D
✓ Correct! Well done.
✗ Incorrect. Try again or view the solution.
View Solution
Solution
Question Tags
JEE Main
Chemistry
Easy
Start Preparing for JEE with Competishun
YouTube
Books
App
Tests
Filters
0
Subject
▾
Exam
▾
JEE Main
JEE Advance
Difficulty
▾
Easy
Medium
Hard
Year
▾
✕ Clear All
Showing
18
questions
Q
JEE MAIN_2026
A non-volatile, non-electrolyte solid solute when dissolved in 40 g of a solvent, the vapour pressure of the solvent decreased...
JEE Main
Chemistry
Easy
View Solution
→
Q
JEE MAIN_2026
The pH of a solution obtained by mixing 5 mL of $0.1 \mathrm{MNH}_4 \mathrm{OH}$ solution with 250 mL of $...
JEE Main
Chemistry
Medium
View Solution
→
Q
JEE MAIN_2026
2.0 g of a bromo hydrocarbon $(\mathrm{X})$ was subjected to Carius analysis, gave 3.36 g of AgBr . The percentage...
JEE Main
Chemistry
Medium
View Solution
→
Q
JEE MAIN_2026
Consider the following sequence of reactions to give the major product (X)
P g of the major product (X)...
JEE Main
Chemistry
Medium
View Solution
→
Q
JEE MAIN_2026
According to Lewis theory, the total number of $\sigma$ bond-pairs and lone pair of electrons around the central atom of...
JEE Main
Chemistry
Easy
View Solution
→
Q
JEE MAIN_2026
Identify the colour of compound ' X ' in the sequence of the reaction.
JEE Main
Chemistry
Medium
View Solution
→
Q
JEE MAIN_2026
Match the LIST-I with LIST-II
Choose the correct answer from the options given below:
JEE Main
Chemistry
Easy
View Solution
→
Q
JEE MAIN_2026
Given below are two statements: In the light of the above statements, choose the correct answer from the options given...
JEE Main
Chemistry
Easy
View Solution
→
Q
JEE MAIN_2026
Product C of the following reaction sequence will be
JEE Main
Chemistry
Medium
View Solution
→
Q
JEE MAIN_2026
Amongst the following, the total number of compounds soluble in aqueous NaOH at room temperature is:
JEE Main
Chemistry
Medium
View Solution
→
Q
JEE MAIN_2026
Match the LIST-I with LIST-II
Choose the correct answer from the options given below:
JEE Main
Chemistry
Easy
View Solution
→
Q
JEE MAIN_2026
An alkene (X) on ozonolysis followed by reduction gives following products
The alkene ( X ) is :
JEE Main
Chemistry
Hard
View Solution
→
Q
JEE MAIN_2026
Increasing order of electron withdrawing power of following functional groups is:
a. -CN
b. -COOH
c. $-\mathrm{NO}_2$...
JEE Main
Chemistry
Easy
View Solution
→
Q
JEE MAIN_2026
Match the LIST-I with LIST-II
Choose the correct answer from the options given below:
JEE Main
Chemistry
Easy
View Solution
→
Q
JEE MAIN_2026
Correct statements from the following are
A. Potassium dichromate is an oxidising agent and it oxidises $\mathrm{FeSO}_4$ to $\mathrm{Fe}_2\left(\mathrm{SO}_4\right)_3$...
JEE Main
Chemistry
Medium
View Solution
→
Q
JEE MAIN_2026
Which of the following is correct set of 4 quantum numbers of $19^{\text {th }}$ electron in Chromium (Atomic number...
JEE Main
Chemistry
Easy
View Solution
→
Q
JEE MAIN_2026
The correct statements among the following are,
A. $\mathrm{Mo}(\mathrm{VI})$ and $\mathrm{W}(\mathrm{VI})$ are less stable than $\mathrm{Cr}(\mathrm{VI})$.
B. $\mathrm{Ce}^{4+}$ and $\mathrm{Tb}^{4+}$...
JEE Main
Chemistry
Easy
View Solution
→
Q
JEE MAIN_2026
Given below are two statements:
Statement 1 : The covalency of oxygen is generally two but it can exceed upto...
JEE Main
Chemistry
Easy
View Solution
→
Load More Questions
Scan the code
Powered by
Joinchat
Hello 👋 Welcome to Competishun – India’s most trusted platform for JEE & NEET preparation.
Need help with JEE / NEET courses, fees, batches, test series or free study material? Chat with us now 👇
Open Chat