Skip to content
Competishun Header
Home
Courses
Test Series
Books
Free Resources
Result
Contact Us
Free Resources
Courses
Test Series
JEE Solutions
NCERT PDF
Books
Gallery
Result
Blogs
Watch JEE Free Lectures
↗
Download Our App
↗
Follow Us
Login / Register
Back
Report
Report Issue
×
Wrong Answer
Typo Error
Image Issue
Not Clear
Other
JEE MAIN 2023
11-4-2023 S2
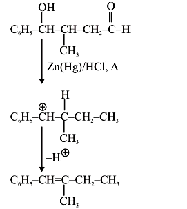
Question
Select the correct option:
A
A only
B
B only
C
C only
D
D only
✓ Correct! Well done.
✗ Incorrect. Try again or view the solution.
View Solution
Solution
Question Tags
JEE Main
Chemistry
Easy
Start Preparing for JEE with Competishun
YouTube
Books
App
Tests
Filters
0
Subject
▾
Exam
▾
JEE Main
JEE Advance
Difficulty
▾
Easy
Medium
Hard
Year
▾
✕ Clear All
Showing
18
questions
Q
JEE Main 2024
2024
An amine ( X ) is prepared by ammonolysis of benzyl chloride. On adding p-toluenesulphonyl chloride to it the solution...
JEE Main
Chemistry
Easy
View Solution
→
Q
JEE Main 2024
2024
The correct IUPAC name of $\left[\mathrm{PtBr}_2\left(\mathrm{PMe}_3\right)_2\right]$ is:
JEE Main
Chemistry
Easy
View Solution
→
Q
JEE Main 2024
2024
Evaluate the following statements related to group 14 elements for their correctness
(A) Covalent radius decreases down the group...
JEE Main
Chemistry
Easy
View Solution
→
Q
JEE Main 2024
2024
The correct statements among the following, for a "chromatography" purification method is:
JEE Main
Chemistry
Easy
View Solution
→
Q
JEE Main 2024
2024
The number of ions from the following that are expected to behave as oxidising agent is:
$...
JEE Main
Chemistry
Easy
View Solution
→
Q
JEE Main 2024
2024
Given below are two statements:
Statement I: $\mathrm{PF}_5$ and $\mathrm{BrF}_5$ both exhibit $\mathrm{sp}^3 \mathrm{~d}$ hybridisation.
Statement II: Both...
JEE Main
Chemistry
Easy
View Solution
→
Q
JEE Main 2024
2024
The incorrect statement regarding the geometrical isomers of 2-butene is:
JEE Main
Chemistry
Easy
View Solution
→
Q
JEE Main 2024
2024
Arrange the following elements in the increasing order of number of unpaired electrons in it.
(A) Sc (B) Cr...
JEE Main
Chemistry
Easy
View Solution
→
Q
JEE Main 2024
2024
How can an electrochemical cell be converted into an electrolytic cell ?
JEE Main
Chemistry
Easy
View Solution
→
Q
JEE Main 2024
2024
During the detection of acidic radical present in a salt, a student gets a pale yellow precipitate soluble with difficulty...
JEE Main
Chemistry
Easy
View Solution
→
Q
JEE Main 2024
2024
The incorrect statements regarding enzymes are:
(A) Enzymes are biocatalysts.
(B) Enzymes are non-specific and can catalyse different...
JEE Main
Chemistry
Easy
View Solution
→
Q
JEE Main 2024
2024
Molality (m) of 3 M aqueous solution of NaCl is: (Given : Density of solution $=1.25 \mathrm{~g} \mathrm{~mL}^{-1}$, Molar mass...
JEE Main
Chemistry
Easy
View Solution
→
Q
JEE Main 2024
2024
Two open organ pipes of length 60 cm and 90 cm resonate at $6^{\text {th }}$ and $5^{\text {th }}$...
JEE Main
Physics
Easy
View Solution
→
Q
JEE Main 2024
2024
Two coherent monochromatic light beams of intensities I and 4I are superimposed. The difference between maximum and minimum possible intensities...
JEE Main
Physics
Easy
View Solution
→
Q
JEE Main 2024
2024
A wire of cross sectional area A, modulus of elasticity $2 \times 10^{11} \mathrm{Nm}^{-2}$ and length 2 m is stretched...
JEE Main
Physics
Easy
View Solution
→
Q
JEE Main 2024
2024
In the given figure an ammeter A consists of a $240 \Omega$ coil connected in parallel to a $10 \Omega$...
JEE Main
Physics
Easy
View Solution
→
Q
JEE Main 2024
2024
A coil having 100 turns, area of $5 \times 10^{-3} \mathrm{~m}^2$, carrying current of 1 mA is placed in uniform...
JEE Main
Physics
Easy
View Solution
→
Q
JEE Main 2024
2024
Three balls of masses $2 \mathrm{~kg}, 4 \mathrm{~kg}$ and 6 kg respectively are arranged at centre of the edges of...
JEE Main
Physics
Easy
View Solution
→
Load More Questions
Check this project
|
Best Developer Portfolio
Scan the code
Powered by
Joinchat
Hello 👋 Welcome to Competishun – India’s most trusted platform for JEE & NEET preparation.
Need help with JEE / NEET courses, fees, batches, test series or free study material? Chat with us now 👇
Open Chat