Skip to content
Competishun Header
Home
Courses
Test Series
Books
Free Resources
Result
Contact Us
Free Resources
Courses
Test Series
JEE Solutions
NCERT PDF
Books
Gallery
Result
Blogs
Watch JEE Free Lectures
↗
Download Our App
↗
Follow Us
Login / Register
Back
Report
Report Issue
×
Wrong Answer
Typo Error
Image Issue
Not Clear
Other
JEE Main 2024
04-04-2024 S2
Question
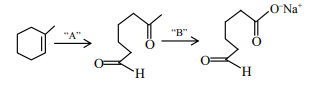
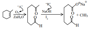
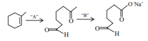
In the above chemical reaction sequence “A’’ and “B” respectively are :
Select the correct option:
A
$\mathrm{O}_3, \mathrm{Zn} / \mathrm{H}_2 \mathrm{O}$ and $\mathrm{NaOH}_{(\text {alc. })} / \mathrm{I}_2$
B
$\mathrm{H}_2 \mathrm{O}, \mathrm{H}^{+}$and $\mathrm{NaOH}_{\text {(alc.) }} / \mathrm{I}_2$
C
$\mathrm{H}_2 \mathrm{O}, \mathrm{H}^{+}$and $\mathrm{KMnO}_4$
D
$\mathrm{O}_3, \mathrm{Zn} / \mathrm{H}_2 \mathrm{O}$ and $\mathrm{KMnO}_4$
✓ Correct! Well done.
✗ Incorrect. Try again or view the solution.
View Solution
Solution
Question Tags
JEE Main
Chemistry
Easy
Start Preparing for JEE with Competishun
YouTube
Books
App
Tests
Filters
0
Subject
▾
Exam
▾
JEE Main
JEE Advance
Difficulty
▾
Easy
Medium
Hard
Year
▾
✕ Clear All
Showing
18
questions
Q
JEE Main 2024
2024
Consider the function $\mathrm{f}: \mathbb{R} \rightarrow \mathbb{R}$ defined by $f(x)=\frac{2 x}{\sqrt{1+9 x^2}}$. If the composition of $...
JEE Main
Mathematics
Easy
View Solution
→
Q
JEE Main 2024
2024
Let f: ℝ → ℝ be a thrice differentiable function such that f(0) = 0, f(1) = 1, f(2) =...
JEE Main
Mathematics
Easy
View Solution
→
Q
JEE Main 2024
2024
If $\int \operatorname{cosec}^5 x d x=\alpha \cot x \operatorname{cosec} x\left(\operatorname{cosec}^2 x+\frac{3}{2}\right)+\beta \log _e\left|\tan \frac{x}{2}\right|+C$ where $\alpha, \beta \in \mathbb{R}$ and...
JEE Main
Mathematics
Easy
View Solution
→
Q
JEE Main 2024
2024
Let $S=\left\{\sin ^2 2 \theta:\left(\sin ^4 \theta+\cos ^4 \theta\right) x^2+(\sin 2 \theta) x+\left(\sin ^6 \theta+\cos ^6 \theta\right)=0\right.$ has real roots...
JEE Main
Mathematics
Easy
View Solution
→
Q
JEE Main 2024
2024
Let P the point of intersection of the lines $\frac{x-2}{1}=\frac{y-4}{5}=\frac{z-2}{1}$ and $\frac{x-3}{2}=\frac{y-2}{3}=\frac{z-3}{2}$. Then, the shortest distance of $P$ from the...
JEE Main
Mathematics
Easy
View Solution
→
Q
JEE Main 2024
2024
Let $y=y(x)$ be the solution of the differential equation $\left(x^2+4\right)^2 d y+\left(2 x^3 y+8 x y-2\right) d x=0$. If $y(0)=$...
JEE Main
Mathematics
Easy
View Solution
→
Q
JEE Main 2024
2024
Given the inverse trigonometric function assumes principal values only. Let $x, y$ be any two real numbers in $[-1,1]$ such...
JEE Main
Mathematics
Easy
View Solution
→
Q
JEE Main 2024
2024
Let P Q be a chord of the parabola $y^2=12 x$ and the midpoint of PQ be at $(4,1)$. Then,...
JEE Main
Mathematics
Easy
View Solution
→
Q
JEE Main 2024
2024
Consider a hyperbola $H$ having centre at the origin and foci and the $x$-axis. Let $C_1$ be the circle touching...
JEE Main
Mathematics
Easy
View Solution
→
Q
JEE Main 2024
2024
If the coefficients of $x^4, x^5$ and $x^6$ in the expansion of $(1+x)^n$ are in the arithmetic progression, then the...
JEE Main
Mathematics
Easy
View Solution
→
Q
JEE Main 2024
2024
Let f(x) = 3 $ \sqrt{\mathrm{x}-2}+\sqrt{4-\mathrm{x}}$ be a real valued function. If $\alpha$ and $\beta$ are respectively the minimum and...
JEE Main
Mathematics
Easy
View Solution
→
Q
JEE Main 2024
2024
If the value of the integral $\int_{-1}^1 \frac{\cos \alpha x}{1+3^x} d x$ is $\frac{2}{\pi}$. Then, a value of $\alpha$ is
JEE Main
Mathematics
Easy
View Solution
→
Q
JEE Main 2024
2024
The area (in sq. units) of the region $S=\{z \in \mathbb{C} ;|z-1| \leq 2 ;(z+\bar{z})+i(z-\bar{z}) \leq 2, \operatorname{lm}(z) \geq 0\}$...
JEE Main
Mathematics
Easy
View Solution
→
Q
JEE Main 2024
2024
The area (in sq. units) of the region described by $\left\{(x, y): y^2 \leq 2 x\right.$, and $...
JEE Main
Mathematics
Easy
View Solution
→
Q
JEE Main 2024
2024
Let $f(x)=\int_0^x\left(t+\sin \left(1-e^t\right)\right) d t, x \in \mathbb{R}$. Then $\lim _{x \rightarrow 0} \frac{f(x)}{x^3}$ is equal to
JEE Main
Mathematics
Easy
View Solution
→
Q
JEE Main 2024
2024
The value of $\frac{1 \times 2^2+2 \times 3^2+\cdots+100 \times(101)^2}{1^2 \times 2+2^2 \times 3+\cdots+100^2 \times 101}$ is
JEE Main
Mathematics
Easy
View Solution
→
Q
JEE MAIN 2024
2024
Let ABC be an isosceles triangle in which A is at $(-1,0), \angle A=\frac{2 \pi}{3}, A B=A C$ and $B$...
JEE Main
Mathematics
Easy
View Solution
→
Q
JEE MAIN 2024
2024
If $\frac{d x}{d y}=\frac{1+x-y^2}{y}, x(1)=1$, then $5 x(2)$ is equal to :
JEE Main
Mathematics
Easy
View Solution
→
Load More Questions
Check this project
|
Best Developer Portfolio
Scan the code
Powered by
Joinchat
Hello 👋 Welcome to Competishun – India’s most trusted platform for JEE & NEET preparation.
Need help with JEE / NEET courses, fees, batches, test series or free study material? Chat with us now 👇
Open Chat