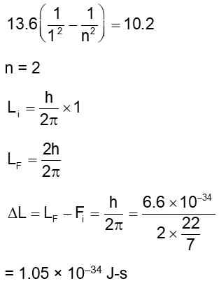
A hydrogen atom in is ground state absorbs 10.2 eV of energy. The angular momentum of electron of the hydrogen atom will increase by the value of : (Given, Plank’s constant = $\left.6.6 \times 10^{-34} \mathrm{Js}\right)$
Hello 👋 Welcome to Competishun – India’s most trusted platform for JEE & NEET preparation. Need help with JEE / NEET courses, fees, batches, test series or free study material? Chat with us now 👇