Competishun Header

Report Issue

JEE Advance 2020
paper-2
Question
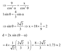
A large square container with thin transparent vertical walls and filled with water (refractive index $\frac{4}{3}$ ) is kept on a horizontal table. A student holds a thin straight wire vertically inside the water 12 cm from one of its corners, as shown schematically in the figure. Looking at the wire from this corner, another student sees two images of the wire, located symmetrically on each side of the line of sight as shown. The separation (in cm) between these images is $\_\_\_\_$ .
Question Image
Write Your Answer
✓ Correct! Well done.
✗ Incorrect. Try again or view the solution.
Solution
Question Tags
JEE Advance
Physics
Easy
Start Preparing for JEE with Competishun
Filters 0
JEE Main
JEE Advance
Easy
Medium
Hard
Showing 18 questions
QJEE Advanced 20202020
Let $x, y$ and $z$ be positive real numbers. Suppose $x, y$ and $z$ are lengths of the sides of...
JEE AdvanceMathematicsEasy
View Solution
QJEE Advanced 20202020
Let S be the set of all complex numbers z satisfying $\left|\mathrm{z}^2+\mathrm{z}+1\right|=1$. Then which of the following statements is/are TRUE...
JEE AdvanceMathematicsEasy
View Solution
QJEE Advanced 20202020
Let M be a 3 X 3 invertible matrix with real entries and let I denote the $3 \times 3$...
JEE AdvanceMathematicsEasy
View Solution
QJEE Advanced 20202020
Let the function $f: R \rightarrow R$ be defined by $f(x)=x^3-x^2+(x-1) \sin x$ and let $g: R \rightarrow R$ be...
JEE AdvanceMathematicsEasy
View Solution
QJEE Advance 20202020
In an X-ray tube, electrons emitted from a filament (cathode) carrying current I hit a target (anode) at a distance...
JEE AdvancePhysicsEasy
View Solution
QJEE Advance 20202020
A rod of mass $m$ and length $L$, pivoted at one of its ends, is hanging vertically. A bullet of...
JEE AdvancePhysicsEasy
View Solution
QJEE Advanced 20202020
Consider all rectangles lying in the region $...
JEE AdvanceMathematicsEasy
View Solution
QJEE Advanced 20202020
Let C1 and C2 be two biased coins such that the probabilities of getting head in a single toss are...
JEE AdvanceMathematicsEasy
View Solution
QJEE Advance 20202020
A student skates up a ramp that makes an angle $30^{\circ}$ with the horizontal. $\mathrm{He} /$ she starts (as shown...
JEE AdvancePhysicsEasy
View Solution
QJEE Advance 20202020
A beaker of radius $r$ is filled with water (refractive index $\frac{4}{3}$ ) up to a height $H$ as shown...
JEE AdvancePhysicsEasy
View Solution
QJEE Advance 20202020
A thermally isolated cylindrical closed vessel of height 8 m is kept vertically. It is divided into two equal parts...
JEE AdvancePhysicsEasy
View Solution
QJEE Advance 20202020
A point charge q of mass m is suspended vertically by a string of length $l$. A point dipole of...
JEE AdvancePhysicsEasy
View Solution
QJEE Advanced 20202020
Let $\mathrm{a}, \mathrm{b}$ and $\lambda$ be positive real numbers. Suppose P is an end point of the latus rectum of...
JEE AdvanceMathematicsEasy
View Solution
QJEE Advanced 20202020
Let the functions $f: \mathrm{R} \rightarrow \mathrm{R}$ and $\mathrm{g}: \mathrm{R} \rightarrow \mathrm{R}$ be defined by $...
JEE AdvanceMathematicsEasy
View Solution
QJEE Advance 20202020
A hot air balloon is carrying some passengers, and a few sandbags of mass 1 kg each so that its...
JEE AdvancePhysicsEasy
View Solution
QJEE Advance 20202020
Two large circular discs separated by a distance of 0.01 m are connected to a battery via a switch as...
JEE AdvancePhysicsEasy
View Solution
QJEE Advanced 20202020
If the function $f: \mathrm{R} \rightarrow \mathrm{R}$ is defined by $\mathrm{f}(\mathrm{x})=|\mathrm{x}|(\mathrm{x}-\sin \mathrm{x})$, then which of the following statements is TRUE?
JEE AdvanceMathematicsEasy
View Solution
QJEE Advance 20202020
A train with cross-sectional area $\mathrm{S}_{\mathrm{t}}$ is moving with speed $v_t$ inside a long tunnel of cross-sectional area $\mathrm{S}_0\left(\mathrm{~S}_0=4 \mathrm{~S}_{\mathrm{t}}\right)$....
JEE AdvancePhysicsEasy
View Solution