Competishun Header

Report Issue

JEE MAIN 2019
10-04-2019 S2
Question
A metal coin of mass 5 g and radius 1 cm is fixed to a thin stick AB of negligible mass as shown in the figure. The system is initially at rest. The constant torque, that will make the system rotate about AB at 25 rotations per second in 5 s, is closed to :
Question Image
Select the correct option:
A
$4.0 \times 10^{-6} \mathrm{Nm}$
B
$7.9 \times 10^{-6} \mathrm{Nm}$
C
$2.0 \times 10^{-5} \mathrm{Nm}$
D
$1.6 \times 10^{-5} \mathrm{Nm}$
✓ Correct! Well done.
✗ Incorrect. Try again or view the solution.
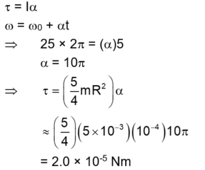
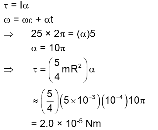
Solution
Question Tags
JEE Main
Physics
Medium
Start Preparing for JEE with Competishun
Filters 0
JEE Main
JEE Advance
Easy
Medium
Hard
Showing 18 questions
QJEE-Main 20242024
Given below are two statements :
JEE MainChemistryEasy
View Solution
QJEE-Main 20242024
Which one of the following reactions is NOT possible?
JEE MainChemistryEasy
View Solution
QJEE-Main 20242024
The quantity of silver deposited when one coulomb charge is passed through $\mathrm{AgNO}_3$ solution:
JEE MainChemistryEasy
View Solution
QJEE Main 20242024
The sum of the coefficient of $x^{2 / 3}$ and $x^{-2 / 5}$ in the binomial expansion of $...
JEE MainMathematicsEasy
View Solution
QJEE Main 20242024
The value of the integral $\int_{-1}^2 \log _e\left(x+\sqrt{x^2+1}\right) d x$ is :
JEE MainMathematicsEasy
View Solution
QJEE-Main 20242024
Match List - I with List - II.
JEE MainChemistryEasy
View Solution
QJEE Main 20242024
If an unbiased dice is rolled thrice, then the probability of getting a greater number in the $i^{\text {th }}$...
JEE MainMathematicsEasy
View Solution
QJEE Main 20242024
Let a, ar, $a r^{2^2} \ldots \ldots .$. be an infinite G.P. If $\sum_{n=0}^{\infty} a^n=57$ and $\sum_{n=0}^{\infty} a^3 r^{3 n}=9747$,...
JEE MainMathematicsEasy
View Solution
QJEE-Main 20242024
The metal atom present in the complex MABXL (where $\mathrm{A}, \mathrm{B}, \mathrm{X}$ and L are unidentate ligands and M is...
JEE MainChemistryEasy
View Solution
QJEE Main 20242024
The integral $\int_{1 / 4}^{3 / 4} \cos \left(2 \cot ^{-1} \sqrt{\frac{1-\mathrm{x}}{1+\mathrm{x}}}\right) \mathrm{dx}$ is equal to:
JEE MainMathematicsEasy
View Solution
QJEE-Main 20242024
Given below are two statements:
JEE MainChemistryEasy
View Solution
QJEE Main 20242024
If $\log _e y=3 \sin ^{-1} x$, then $(1-x)^2 y^{\prime \prime}-x y^{\prime}$ at $x=\frac{1}{2}$ is equal to :
JEE MainMathematicsEasy
View Solution
QJEE Main 20242024
Let $B=\left[\begin{array}{ll}1 & 3 \\ 1 & 5\end{array}\right]$ and $A$ be a $2 \times 2$ matrix such that $\mathrm{AB}^{-1}=\mathrm{A}^{-1}$. If...
JEE MainMathematicsEasy
View Solution
QJEE-Main 20242024
Given below are two statements : one is labelled as Assertion (A) and the other is labelled as Reason (R).
JEE MainChemistryEasy
View Solution
QJEE Main 20242024
$\lim _{x \rightarrow \frac{x}{2}}\left(\frac{\int_{x^3}^{(\pi / 2)^3}\left(\sin \left(2 t^{1 / 3}\right)+\cos \left(t^{1 / 3}\right)\right) d t}{\left(x-\frac{\pi}{2}\right)^2}\right)$ is equal to :
JEE MainMathematicsEasy
View Solution
QJEE Main 20242024
Between the following two statements :
Statement-I : Let $\overrightarrow{\mathrm{a}}=\hat{\mathrm{i}}+2 \hat{\mathrm{j}}-3 \hat{\mathrm{k}}$ and $\vec{b}=2 \hat{\imath}+\hat{\jmath}-\hat{k}$. Then the vector $\overrightarrow{\mathrm{r}}$...
JEE MainMathematicsEasy
View Solution
QJEE-Main 20242024
The correct nomenclature for the following compound is:
JEE MainPhysicsEasy
View Solution
QJEE Main 20242024
Let the range of the function $f(x)=\frac{1}{2+\sin 3 x+\cos 3 x}, x \in \mathrm{IR}$ be $[a, b]$. If $\alpha$ and...
JEE MainMathematicsEasy
View Solution
Check this project | Best Developer Portfolio