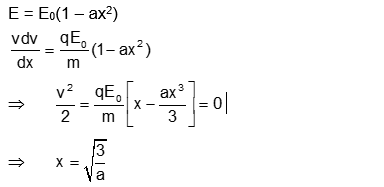
A particle of charge $q$ and mass $m$ is subjected to an electric field $E=E_0\left(1-a x^2\right)$ in the $x$-direction, where $a$ and $E_0$ are constants. Initially the particle was at rest at $x=0$. Other than the initial position the kinetic energy of the particle becomes zero when the distance of the particle from the origin is
Hello 👋 Welcome to Competishun – India’s most trusted platform for JEE & NEET preparation. Need help with JEE / NEET courses, fees, batches, test series or free study material? Chat with us now 👇