Competishun Header

Report Issue

JEE MAIN 2021
26.08.21_S1
Question
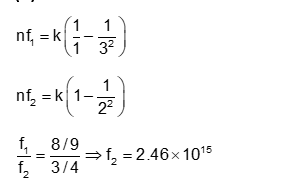
A particular hydrogen like ion emits radiation of frequency $2.92 \times 10^{15} \mathrm{~Hz}$ when it makes transition from $n=3$ to $n=1$. The frequency in Hz of radiation emitted in transition from $n=2$ to $n=1$ will be :
Select the correct option:
A
$0.44 \times 10^{15}$
B
X$6.57 \times 10^{15}$
C
$4.38 \times 10^{15}$
D
$2.46 \times 10^{15}$
✓ Correct! Well done.
✗ Incorrect. Try again or view the solution.
Solution
Solution Image
Question Tags
JEE Main
Physics
Easy
Start Preparing for JEE with Competishun
Filters 0
JEE Main
JEE Advance
Easy
Medium
Hard
Showing 18 questions
QJEE Main 20262026
Match The Following
JEE MainChemistryEasy
View Solution
QJEE Mains 20262026
Consider the three aromatic molecules (P, Q and R) whose structures have been given below :
JEE MainChemistryMedium
View Solution
QJEE Mains 20262026
Match the following
JEE MainChemistryEasy
View Solution
QJEE MAIN_2026
The velocity of a particle executing simple harmonic motion along $x$-axis is described as $v^2=50-x^2$, where x represents displacement. If...
JEE MainPhysicsEasy
View Solution
QJEE MAIN_2026
The surface tension of a soap solution is $3.5 \times 10^{-2} \mathrm{~N} / \mathrm{m}$. The work required to increase the...
JEE MainPhysicsMedium
View Solution
QJEE MAIN_2026
A 1 kg block subjected to two simultaneous forces $(2 \hat{\mathrm{i}}+3 \hat{\mathrm{j}}+4 \hat{\mathrm{k}}) \mathrm{N}$ and $(3 \hat{i}-\hat{j}-2 \hat{k}) \mathrm{N}$ is...
JEE MainPhysicsEasy
View Solution
QJEE MAIN_2026
An unpolarized light is incident on the plane interface of air-dielectric medium shown in figure. If the incident angle is...
JEE MainPhysicsHard
View Solution
QJEE MAIN_2026
The voltage and the current between A and B points shown in the circuit are _____.
JEE MainPhysicsMedium
View Solution
QJEE Main 20262026
For the given molecule, "x", the preferred site for the attack of the electrophile is :
JEE MainChemistryEasy
View Solution
QJEE Mains 20262026
In IUPAC nomenclature, the correct order of decreasing priority of functional group is:
JEE MainChemistryEasy
View Solution
QJEE Main 20262026
Given below are two statements:
Statement (I) : Benzyl chloride reacts faster in $\mathrm{S}_{\mathrm{N}} 1$ mechanism than ethyl chloride.
...
JEE MainPhysicsEasy
View Solution
QJEE MAIN_2026
Consider a circuit consisting of a capacitor $(20 \mu \mathrm{~F})$, resistor $(100 \Omega)$ and two identical diodes as shown in...
JEE MainPhysicsMedium
View Solution
QJEE MAIN_2026
Given below are two statements:
Statement (I) : 1, 2, 3-Trihydroxypropane can be separated from water by simple distillation.
Statement...
JEE MainChemistryEasy
View Solution
QJEE MAIN_2026
An insulated wire is wound so that it forms a flat coil with $\mathrm{N}=200$ turns. The radius of the innermost...
JEE MainPhysicsHard
View Solution
QJEE Main 20262026
Match List - I with List - II.
List - I List - II
JEE MainChemistryEasy
View Solution
QJEE MAIN_2026
A parallel plate air capacitor is connected to a battery. The plates are pulled apart at uniform speed $v$. If...
JEE MainPhysicsMedium
View Solution
QJEE MAIN_2026
A rod of length 10 cm lies along the principle axis of a concave mirror of focal length 10 cm...
JEE MainPhysicsEasy
View Solution
QJEE MAIN_2026
Two 4 bits binary numbers, $\mathrm{A}=1101$ and $\mathrm{B}=1010$ are given in the inputs of a logic circuit shown in figure...
JEE MainPhysicsEasy
View Solution
Check this project | Best Developer Portfolio