Competishun Header

Report Issue

JEE MAIN 2020
06.09.20_S2
Question
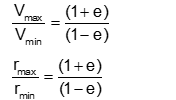
A satellite is in an elliptical orbit around a planet P. It is observed that the velocity of the satellite when it is farthest from the planet is 6 times less than that when it is closest to the planet. The ratio of distances between the satellite and the planet at closest and farthest points is
Select the correct option:
A
1 : 6
B
1 : 2
C
3 : 4
D
1 : 3
✓ Correct! Well done.
✗ Incorrect. Try again or view the solution.
Solution
Solution Image
Question Tags
JEE Main
Physics
Medium
Start Preparing for JEE with Competishun
Filters 0
JEE Main
JEE Advance
Easy
Medium
Hard
Showing 18 questions
QJEE Main 20242024
A body is moving unidirectionally under the influence of a constant power source. Its displacement in time t is proportional...
JEE MainPhysicsEasy
View Solution
QJEE Main 20242024
What is the dimensional formula of $\mathrm{ab}^{-1}$ in the equation $\left(P+\frac{a}{V^2}\right)(V-b)=R T$, where letters have their usual meaning.
JEE MainPhysicsEasy
View Solution
QJEE-Main 20242024
Number of compounds from the following with zero dipole moment is $\_\_\_\_$ . $...
JEE MainChemistryEasy
View Solution
QJEE-Main 20242024
Considering acetic acid dissociates in water, its dissociation constant is $6.25 \times 10^{-5}$. If 5 mL of acetic acid is...
JEE MainChemistryEasy
View Solution
QJEE-Main 20242024
The product © in the following sequence of reactions has $\_\_\_\_$ $\pi$ bonds.
JEE MainChemistryEasy
View Solution
QJEE-Main 20242024
Consider the following single step reaction in gas phase at constant temperature. $$ 2 \mathrm{~A}_{(\mathrm{p})}+\mathrm{B}_{(\mathrm{g})} \rightarrow \mathrm{C}_{(\mathrm{p})} $$ The initial...
JEE MainChemistryEasy
View Solution
QJEE-Main 20242024
In the Claisen-Schmidt reaction to prepare 351 g of dibenzalacetone using 87 g of acetone, the amount of benzaldehyde required...
JEE MainChemistryEasy
View Solution
QJEE-Main 20242024
Using the given figure, the ratio of $R_f$ values of sample A and sample C is $\mathrm{x} \times 10^{-2}$. Value...
JEE MainChemistryEasy
View Solution
QJEE-Main 20242024
In an atom, total number of electrons having quantum numbers $n=4,\left|m_1\right|=1$ and $m_s=-\frac{1}{2}$ is
JEE MainChemistryEasy
View Solution
QJEE-Main 20242024
X of enthanamine was subjected to reaction with $\mathrm{NaNO}_2 / \mathrm{HCl}$ followed by hydrolysis to liberate $\mathrm{N}_2$ and HCl ....
JEE MainChemistryEasy
View Solution
QJEE-Main 20242024
The fusion of chromite ore with sodium carbonate in the presence of air leads to the formation of products A...
JEE MainChemistryEasy
View Solution
QJEE-Main 20242024
Combustion of 1 mole of benzene is expressed at $$ \mathrm{C}_6 \mathrm{H}_6(1)+\frac{15}{2} \mathrm{O}_2(\mathrm{~g}) \rightarrow \mathrm{CO}_2(\mathrm{~g})+3 \mathrm{H}_2 \mathrm{O}(1) . $$ The...
JEE MainChemistryEasy
View Solution
QJEE-Main 20242024
Coagulation of egg, on heating is because of :
JEE MainChemistryEasy
View Solution
QJEE-Main 20242024
The correct statements from the following are :
JEE MainChemistryEasy
View Solution
QJEE-Main 20242024
Identify A and B in the given chemical reaction sequence : -
JEE MainChemistryEasy
View Solution
QJEE-Main 20242024
The number of ions from the following that have the ability to liberate hydrogen from a dilute acid is $\_\_\_\_$...
JEE MainChemistryEasy
View Solution
QJEE-Main 20242024
The number of complexes from the following with no electrons in the $\mathrm{t}_2$ orbital is $\_\_\_\_$ . $$ \mathrm{TiCl}_4,\left[\mathrm{MnO}_4\right]^{-},\left[\mathrm{FeO}_4\right]^{2-},\left[\mathrm{FeCl}_4\right]^{-},\left[\mathrm{CoCl}_4\right]^{2-} $$
JEE MainChemistryEasy
View Solution
QJEE Main 20242024
A series LCR circuit is subjected to an AC signal of $200 \mathrm{~V}, 50 \mathrm{~Hz}$. If the voltage across the...
JEE MainPhysicsEasy
View Solution
Check this project | Best Developer Portfolio