Competishun Header

Report Issue

JEE MAIN 2019
12-04-2019 S2
Question
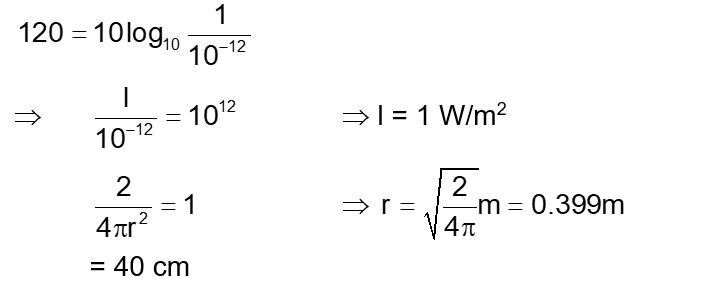
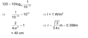
A small speaker delivers 2 W of audio output. At what distance from the speaker will one detect 120 dB intensity sound? [Given reference intensity of sound as $10^{-12} \mathrm{~W} / \mathrm{m}^2$ ]
Select the correct option:
A
30 cm
B
40 cm
C
10 cm
D
20 cm
✓ Correct! Well done.
✗ Incorrect. Try again or view the solution.
Solution
Question Tags
JEE Main
Physics
Medium
Start Preparing for JEE with Competishun
Video Solution
BY competishun
Video Solution
Watch Solution
Filters 0
JEE Main
JEE Advance
Easy
Medium
Hard
Showing 18 questions
QJEE MAIN_2026
An electromagnetic wave travels in free space along the $x$-direction. At a particular point in space and time, $...
JEE MainPhysicsEasy
View Solution
QJEE MAIN_2026
A spherical ball of mass 2 kg falls from a height of 10 m and is brought to rest after...
JEE MainPhysicsEasy
View Solution
QJEE MAIN_2026
If an air bubble of diameter 2 mm rises steadily through a liquid of density $2000 \mathrm{~kg} / \mathrm{m}^3$ at...
JEE MainPhysicsMedium
View Solution
QJEE MAIN_2026
A mixture of carbon dioxide and oxygen has volume $8310 \mathrm{~cm}^3$, temperature 300 K , pressure 100 kPa and mass...
JEE MainPhysicsMedium
View Solution
QJEE MAIN_2026
The surface tension of a soap bubble is $0.03 \mathrm{~N} / \mathrm{m}$. The work done in increasing the diameter of...
JEE MainPhysicsEasy
View Solution
QJEE MAIN_2026
In a screw gauge the zero of main scale reference line coincides with the fifth division of the circular scale...
JEE MainPhysicsMedium
View Solution
QJEE MAIN_2026
If a body of mass 1 kg falls on the earth from infinity, it attains velocity $(v)$ and kinetic energy...
JEE MainPhysicsEasy
View Solution
QJEE MAIN_2026
If X and Y are the inputs, the given circuit works as _____ .
JEE MainPhysicsEasy
View Solution
QJEE MAIN_2026
A particle having charge $10^{-9} \mathrm{C}$ moving in $x-y$ plane in fields of $0.4 \hat{j} \mathrm{~N} / \mathrm{C}$ and $...
JEE MainPhysicsMedium
View Solution
QJEE MAIN_2026
Two blocks of masses 2 kg and 1 kg respectively, are tied to the ends of a string which passes...
JEE MainPhysicsMedium
View Solution
QJEE MAIN_2026
A 0.5 kg mass is in contact against the inner wall of a cylindrical drum of radius 4 m rotating...
JEE MainPhysicsEasy
View Solution
QJEE MAIN_2026
Dimensions of universal gravitational constant (G) in terms of Planck's constant (h), distance (L), mass (M) and time (T) are...
JEE MainPhysicsMedium
View Solution
QJEE MAIN_2026
Refer the figure given below. m1 and m2 are refractive indices of air and lens material. The height of image...
JEE MainPhysicsEasy
View Solution
QJEE_MAIN_2026
For a thin symmetric prism made of glass (refractive index 1.5 ), the ratio of incident angle and minimum deviation...
JEE MainPhysicsEasy
View Solution
QJEE_MAIN_2026
A tub is filled with water and a wooden cube $10 \mathrm{~cm} \times 10 \mathrm{~cm} \times 10 \mathrm{~cm}$ is placed...
JEE MainPhysicsEasy
View Solution
QJEE MAIN_2026
A uniform wire of length $l$ of weight w is suspended from the roof with a weight of W at...
JEE MainPhysicsMedium
View Solution
QJEE MAIN_2026
$1 \mu \mathrm{C}$ charge moving with velocity $\vec{v}=(\hat{i}-2 \hat{j}+3 \hat{k}) \mathrm{m} / \mathrm{s}$ in the region of magnetic field $...
JEE MainPhysicsEasy
View Solution
QJEE MAIN_2026
A vessel contains $0.15 \mathrm{~m}^3$ of a gas at pressure 8 bar and temperature $140^{\circ} \mathrm{C}$ with $c_p=3 R$ and...
JEE MainPhysicsMedium
View Solution
Check this project | Best Developer Portfolio