Competishun Header

Report Issue

JEE MAIN 2021
18-03-21 S1
Question
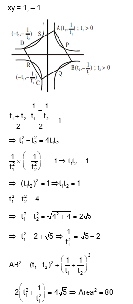
A square $A B C D$ has all its vertices on the curve $x^2 y^2=1$. The midpoints of its sides also lie on the same curve. Then, the square of area of $A B C D$ is
Write Your Answer
✓ Correct! Well done.
✗ Incorrect. Try again or view the solution.
Solution
Solution Image
Question Tags
JEE Main
Mathematics
Medium
Start Preparing for JEE with Competishun
Filters 0
JEE Main
JEE Advance
Easy
Medium
Hard
Showing 18 questions
QJEE Advance 20062006
$A=\left[\begin{array}{lll}1 & 0 & 0 \\ 2 & 1 & 0 \\ 3 & 2 & 1\end{array}\right]$, if $U_1, U_2$...
JEE AdvanceMathematicsEasy
View Solution
QJEE ADVANCE 20062006
How can the conversion of (i) to (ii) be brought about?
JEE AdvanceChemistryEasy
View Solution
QJEE Advance 20062006
Find the number of times $\mathrm{y}_1+\mathrm{y}_2=0$ at $\mathrm{x}=0$ in 1 sec
JEE AdvancePhysicsEasy
View Solution
QJEE Advance 20062006
Find wave velocity of louder sound
JEE AdvancePhysicsEasy
View Solution
QJEE Advance 20062006
A line M through A is drawn parallel to BD . Point S moves such that its distances from the...
JEE AdvanceMathematicsEasy
View Solution
QJEE Advance 20062006
Two waves $\mathrm{y}_1=\mathrm{A} \cos (0.5 \pi \mathrm{x}-100 \pi \mathrm{t})$ and $y_2=A \cos (0.46 \pi x-92 \pi t)$ are travelling in...
JEE AdvancePhysicsEasy
View Solution
QJEE ADVANCE 20062006
$\mathrm{MgSO}_4$ on reaction with $\mathrm{NH}_4 \mathrm{OH}$ and $\mathrm{Na}_2 \mathrm{HPO}_4$ forms a white crystalline precipitate. What is its formula?
JEE AdvanceChemistryEasy
View Solution
QJEE ADVANCE 20062006
What are N and M ?
JEE AdvanceChemistryEasy
View Solution
QJEE ADVANCE 20062006
The smallest ketone and its next homologue are reacted with $\mathrm{NH}_2 \mathrm{OH}$ to form oxime.
JEE AdvanceChemistryEasy
View Solution
QJEE ADVANCE 20062006
The given graph represents the variation of Z (compressibility factor $=\frac{\mathrm{PV}}{\mathrm{nRT}}$ ) versus P , for three real gases $...
JEE AdvanceChemistryEasy
View Solution
QJEE ADVANCE 20062006
The major products P and Q are
JEE AdvanceChemistryEasy
View Solution
QJEE Advance 20062006
A ball moves over a fixed track as shown in the figure. From $A$ to $B$ the ball rolls without...
JEE AdvancePhysicsEasy
View Solution
QJEE Advance 20062006
An infinite current carrying wire passes through point O and in perpendicular to the plane containing a current carrying loop...
JEE AdvancePhysicsEasy
View Solution
QJEE ADVANCE 20062006
Which of the following reactants on reaction with conc. NaOH followed by acidification gives the following lactone as the only...
JEE AdvanceChemistryEasy
View Solution
QJEE Advance 20062006
The graph between $1 / \lambda$ and stopping potential (V) of three metals having work functions $\phi_1, \phi_2$ and $\phi_3$...
JEE AdvancePhysicsEasy
View Solution
QJEE Advance 20062006
In a dark room with ambient temperature $\mathrm{T}_0$, a black body is kept at a temperature T . Keeping the...
JEE AdvancePhysicsEasy
View Solution
QJEE ADVANCE 20062006
The species present in solution when $\mathrm{CO}_2$ is dissolved in water are
JEE AdvanceChemistryEasy
View Solution
QJEE Advance 20062006
A circle touches the line L and the circle $\mathrm{C}_1$ externally such that both the circles are on the same...
JEE AdvanceMathematicsEasy
View Solution