Competishun Header

Report Issue

JEE Advance 2011
Paper-1
Question
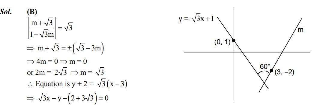
A straight line L through the point $(3,-2)$ is inclined at an angle $60^{\circ}$ to the line $\sqrt{3} \mathrm{x}+\mathrm{y}=1$. If L also intersects the x -axis, then the equation of L is
Select the correct option:
A
$y+\sqrt{3} x+2-3 \sqrt{3}=0$
B
$y-\sqrt{3} x+2+3 \sqrt{3}=0$
C
$\sqrt{3} y-x+3+2 \sqrt{3}=0$
D
$\sqrt{3} y+x-3+2 \sqrt{3}=0$
✓ Correct! Well done.
✗ Incorrect. Try again or view the solution.
Solution
Solution Image
Question Tags
JEE Advance
Mathematics
Easy
Start Preparing for JEE with Competishun
Filters 0
JEE Main
JEE Advance
Easy
Medium
Hard
Showing 18 questions
QJEE Main 20242024
A capacitor of reactance $4 \sqrt{3} \Omega$ and a resistor of resistance $4 \Omega$ are connected in series with an...
JEE MainPhysicsEasy
View Solution
QJEE Main 20242024
A particle of mass 0.50 kg executes simple harmonic motion under force $\mathrm{F}=-50\left(\mathrm{Nm}^{-1}\right) \mathrm{x}$. The time period of oscillation is...
JEE MainPhysicsEasy
View Solution
QJEE Main 20242024
A straight magnetic strip has a magnetic moment of $44 \mathrm{Am}^2$. If the strip is bent in a semicircular shape,...
JEE MainPhysicsEasy
View Solution
QJEE Main 20242024
A spherical ball of radius $1 \times 10^{-4} \mathrm{~m}$ and density $10^5 \mathrm{kg} / \mathrm{m}^3$ falls freely under gravity through...
JEE MainPhysicsEasy
View Solution
QJEE Main 20242024
A real gas within a closed chamber at $27^{\circ} \mathrm{C}$ undergoes the cyclic process as shown in figure. The gas...
JEE MainPhysicsEasy
View Solution
QJEE Main 20242024
The energy released in the fusion of 2 kg of hydrogen deep in the sun is $\mathrm{E}_{\mathrm{H}}$ and the energy...
JEE MainPhysicsEasy
View Solution
QJEE Main 20242024
UV light of 4.13 eV is incident on a photosensitive metal surface having work function 3.13 eV. The maximum kinetic...
JEE MainPhysicsEasy
View Solution
QJEE Main 20242024
A proton and a deutron ( $\mathrm{q}=+\mathrm{e}, m=2.0 \mathrm{u}$ ) having same kinetic energies enter a region of uniform magnetic...
JEE MainPhysicsEasy
View Solution
QJEE Main 20242024
The effective resistance between A and B, if resistance of each resistor is R, will be
JEE MainPhysicsEasy
View Solution
QJEE Main 20242024
A satellite of $10^3 \mathrm{~kg}$ mass is revolving in circular orbit of radius 2 R . If $\frac{10^4 \mathrm{R}}{6} J$...
JEE MainPhysicsEasy
View Solution
QJEE Main 20242024
The de-Broglie wavelength associated with a particle of mass $m$ and energy $E$ is $\mathrm{h} / \sqrt{2 m E}$. The...
JEE MainPhysicsEasy
View Solution
QJEE Main 20242024
The excess pressure inside a soap bubble is thrice the excess pressure inside a second soap bubble. The ratio between...
JEE MainPhysicsEasy
View Solution
QJEE Main 20242024
Two cars are travelling towards each other at speed of $20 \mathrm{~m} \mathrm{~s}^{-1}$ each. When the cars are 300 m...
JEE MainPhysicsEasy
View Solution
QJEE Main 20242024
The magnetic field in a plane electromagnetic wave is $...
JEE MainPhysicsEasy
View Solution
QJEE Main 20242024
A hydrogen atom in ground state is given an energy of 10.2 eV. How many spectral lines will be emitted...
JEE MainPhysicsEasy
View Solution
QJEE Main 20242024
The temperature of a gas is –78° C and the average translational kinetic energy of its molecules is K. The...
JEE MainPhysicsEasy
View Solution
QJEE Main 20242024
The following figure represents two biconvex lenses $\mathrm{L}_1$ and $\mathrm{L}_2$ having focal length 10 cm and 15 cm respectively. The...
JEE MainPhysicsEasy
View Solution
QJEE Main 20242024
A nucleus at rest disintegrates into two smaller nuclei with their masses in the ratio of 2:1. After disintegration they...
JEE MainPhysicsEasy
View Solution
Check this project | Best Developer Portfolio