Report Issue

JEE MAIN 2023
13-4-2023 S1
Question
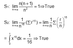
Among: $$ \begin{aligned} & \left(S_1\right)_{\operatorname{lin}}: \lim _{n \rightarrow \infty} \frac{1}{n^2}(2+4+6+\ldots \ldots+2 n)=1 \\ & \left(S_2\right)_{\ln }: \lim _{n \rightarrow \infty} \frac{1}{n^{16}}\left(1^{15}+2^{15}+3^{15}+\ldots \ldots+n^{15}\right)=\frac{1}{16} \end{aligned} $$ (1) Both $\left(\mathrm{S}_1\right)$ and $\left(\mathrm{S}_2\right)$ are true (3) Only $\left(\mathrm{S}_2\right)$ is true
Select the correct option:
A
Both (S1) and (S2) are true
B
Both (S1) and (S2) are false
C
Only (S2) is true
D
Only (S1) is true
✓ Correct! Well done.
✗ Incorrect. Try again or view the solution.
Solution
Solution Image
Question Tags
JEE Main
Mathematics
Easy
Start Preparing for JEE with Competishun