Skip to content
Courses
Test Series
Books
Free Resources
Result
Contact Us
Courses
Test Series
JEE Solutions
NCERT PDF
Books
Free Resources
Exam Papers
Gallery
Result
Blogs
Watch JEE/NEET Free Lectures
↗
Download Our App
↗
Follow Us
Login / Register
Back
Report
Report Issue
×
Wrong Answer
Typo Error
Image Issue
Not Clear
Other
JEE MAIN_2025
030425_S2
Question
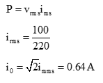
An electric bulb rated as 100W-220V is connected to an ac source of rms voltage 220 V. The peak value of current through the bulb is
Select the correct option:
A
0.45 A
B
0.64 A
C
2.2 A
D
0.32 A
✓ Correct! Well done.
✗ Incorrect. Try again or view the solution.
View Solution
Solution
Question Tags
JEE Main
Physics
Easy
Start Preparing for JEE with Competishun
YouTube
Books
App
Tests
Video Solution
BY competishun
Watch Solution
YouTube
Share this solution:
Share on WhatsApp
Scan the code
Powered by
Joinchat
Hello 👋 Welcome to Competishun – India’s most trusted platform for JEE & NEET preparation.
Need help with JEE / NEET courses, fees, batches, test series or free study material? Chat with us now 👇
Open Chat