Competishun Header

Report Issue

JEE MAIN 2025
29-01-2025 SHIFT-1
Question
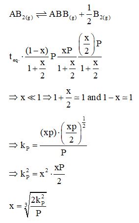
At temperature T, compound ${\rm{A}}{{\rm{B}}_{2(\;{\rm{g}})}}$ dissociates as ${\rm{A}}{{\rm{B}}_{2(\;{\rm{g}})}}$ ⇌ ${\rm{AB}}({\rm{g}}) + \frac{1}{2}\;{{\rm{B}}_{2(\;{\rm{g}})}}$ having degree of dissociation x (small compared to unity). The correct expression for x in terms of ${{\rm{K}}_{\rm{p}}}$ and p is
Select the correct option:
A
$\sqrt {{K_p}} $
B
$\sqrt[4]{{\frac{{2{K_p}}}{p}}}$
C
$\sqrt[3]{{\frac{{2\;{{\rm{K}}_{\rm{p}}}}}{{\rm{p}}}}}$
D
$\sqrt[3]{{\frac{{2K_{\rm{p}}^2}}{{\rm{p}}}}}$
✓ Correct! Well done.
✗ Incorrect. Try again or view the solution.
Solution
Solution Image
Question Tags
JEE Main
Chemistry
Hard
Start Preparing for JEE with Competishun
Video Solution
BY competishun
Video Solution
Watch Solution
Filters 0
JEE Main
JEE Advance
Easy
Medium
Hard
Showing 18 questions
QJEE MAIN_2026
Angular momentum of an electron in a hydrogen atom is $\frac{3 h}{\pi}$, then the energy of the electron is $\_\_\_\_$...
JEE MainPhysicsEasy
View Solution
QJEE MAIN_2026
An electromagnetic wave travelling in $x$-direction is described by field equation $\mathrm{E}_y=300 \sin \omega\left(t-\frac{x}{\mathrm{c}}\right)$. If the electron is restricted to...
JEE MainPhysicsMedium
View Solution
QJEE MAIN_2026
For a certain metal, when monochromatic light of wavelength $\lambda$ is incident, the stopping potential for photoelectrons is $3 \mathrm{~V}_0$....
JEE MainPhysicsMedium
View Solution
QJEE Main 20262026
Which of the following sets includes all the species that will change the orange colour of $\mathrm{K}_2 \mathrm{Cr}_2 \mathrm{O}_7$ in...
JEE MainChemistryEasy
View Solution
QJEE MAIN 20262026
Two identical long current carrying wires are bent into the shapes shown in the following figures. If the magnitude of...
JEE MainPhysicsEasy
View Solution
QJEE Main 20262026
Given below are two statements: Statement (I): Oxidising power of halogens decreases in the order $\mathrm{F}_2>\mathrm{Cl}_2>\mathrm{Br}_2>\mathrm{I}_2$, which is the basis...
JEE MainChemistryMedium
View Solution
QJEE MAIN_2026
When a coil is placed in a time dependent magnetic field the power dissipated in it is $P$. The number...
JEE MainPhysicsHard
View Solution
QJEE Main 20262026
Given below are two statements: Statement (I): The first ionisation enthalpy of the elements $\mathrm{Na}, \mathrm{Mg}, \mathrm{Cl}$ and Ar follows...
JEE MainChemistryEasy
View Solution
QJEE MAIN_2026
For the given circuit (shown in part (A)) the time dependent input voltage vin (t) and corresponding output v0(t) are...
JEE MainPhysicsEasy
View Solution
QJEE Main 20262026
$t_{100 \%}$ is the time required for the $100 \%$ completion of the reaction while $t_{1 / 2}$ is the...
JEE MainChemistryEasy
View Solution
QJEE Main 20262026
An electrochemical cell is constructed using half cells in the direction of spontaneous change $$ \mathrm{Fe}(\mathrm{OH})_2(\mathrm{~s})+2 \mathrm{e}^{-} \rightarrow \mathrm{Fe}(\mathrm{~s})+2 \mathrm{OH}^{-}(\mathrm{aq})...
JEE MainChemistryMedium
View Solution
QJEE MAIN_2026
Two short electric dipoles A and B having dipole moment p1 and p2 respectively are placed with their axis mutually...
JEE MainPhysicsMedium
View Solution
QJEE MAIN 20262026
The solubility product constants of $\mathrm{Ag}_2 \mathrm{CrO}_4$ and AgBr are 32 x and 4 y respectively at 298 K ....
JEE MainChemistryMedium
View Solution
QJEE MAIN_2026
The equation of a plane progressive wave is given by $y=5 \cos \pi\left(200 t-\frac{x}{150}\right)$ where x and y are in...
JEE MainPhysicsEasy
View Solution
QJEE Main 20262026
19.5 g of fluoro acetic acid (molar mass $=78 \mathrm{~g} \mathrm{~mol}^{-1}$ ) is dissolved in 500 g of water at...
JEE MainChemistryHard
View Solution
QJEE_MAIN_2026
Two charged conducting spheres S1 and S2 of radii 8 cm and 18 cm are connected to each other by...
JEE MainPhysicsEasy
View Solution
QJEE MAIN_2026
Heat is supplied to a diatomic gas at constant pressure. Then the ratio of DQ : DU : DW is...
JEE MainPhysicsEasy
View Solution
QJEE MAIN_2026
A parallel plate air capacitor has a capacitance C. When it is half filled as show in figure with a...
JEE MainPhysicsEasy
View Solution
Check this project | Best Developer Portfolio