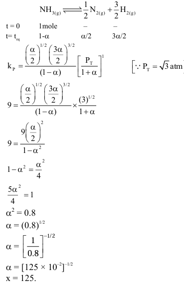
For the following gas phase equilibrium reaction at constant temperature,
$$
\mathrm{NH}_3(\mathrm{~g}) \rightleftharpoons 1 / 2 \mathrm{~N}_2(\mathrm{~g})+3 / 2 \mathrm{H}_2(\mathrm{~g})
$$
if the total pressure is $\sqrt{3} \mathrm{~atm}$ and the pressure equilibrium constant $\left(K_p\right)$ is 9 atm , then the degree of dissociation is given as $\left(x \times 10^{-2}\right)^{-1 / 2}$. The value of $x$ is $\_\_\_\_$ . (nearest integer)
Hello 👋 Welcome to Competishun – India’s most trusted platform for JEE & NEET preparation. Need help with JEE / NEET courses, fees, batches, test series or free study material? Chat with us now 👇