Report Issue

JEE MAIN 2025
23-01-2025 SHIFT-2
Question
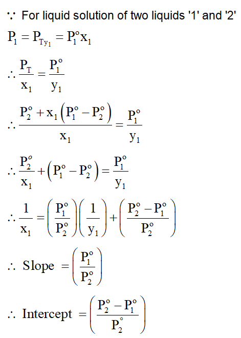
Consider a binary solution of two volatile liquid components 1 and $2 . x_{1}$ and $y_{1}$ are the mole fractions of component 1 in liquid and vapour phase, respectively. The slope and intercept of the linear plot of $\frac{1}{x_{1}}$ vs $\frac{1}{y_{1}}$ are given respectively as :
Select the correct option:
A
$\frac{\mathrm{P}_{1}^{0}}{\mathrm{P}_{2}^{0}}, \frac{\mathrm{P}_{1}^{0}-\mathrm{P}_{2}^{0}}{\mathrm{P}_{2}^{0}}$
B
$\frac{\mathrm{P}_{2}^{0}}{\mathrm{P}_{1}^{0}}, \frac{\mathrm{P}_{2}^{0}-\mathrm{P}_{1}^{0}}{\mathrm{P}_{2}^{0}}$
C
$\frac{\mathrm{P}_{1}^{0}}{\mathrm{P}_{2}^{0}}, \frac{\mathrm{P}_{2}^{0}-\mathrm{P}_{1}^{0}}{\mathrm{P}_{2}^{0}}$
D
$\frac{\mathrm{P}_{2}^{0}}{\mathrm{P}_{1}^{0}}, \frac{\mathrm{P}_{1}^{0}-\mathrm{P}_{2}^{0}}{\mathrm{P}_{2}^{0}}$
✓ Correct! Well done.
✗ Incorrect. Try again or view the solution.
Solution
Solution Image
Question Tags
JEE Main
Chemistry
Easy
Start Preparing for JEE with Competishun