Competishun Header

Report Issue

JEE Advance 2008
paper 1
Question
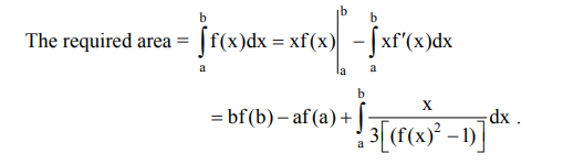
Consider the functions defined implicitly by the equation $y^3-3 y+x=0$ on various intervals in the real line. If $x \in(-\infty,-2) \cup(2, \infty)$, the equation implicitly defines a unique real valued differentiable function $y=f(x)$. If $\mathrm{x} \in(-2,2)$, the equation implicitly defines a unique real valued differentiable function $\mathrm{y}=\mathrm{g}(\mathrm{x})$ satisfying $\mathrm{g}(0)=0$.
The area of the region bounded by the curves $y=f(x)$, the $x$-axis, and the lines $x=a$ and $x=b$,where $-\infty<\mathrm{a}<\mathrm{b}<-2$, is
Select the correct option:
A
$\int_{\mathrm{a}}^{\mathrm{b}} \frac{\mathrm{x}}{3\left((\mathrm{f}(\mathrm{x}))^2-1\right)} \mathrm{dx}+\mathrm{bf}(\mathrm{b})-\mathrm{af}(\mathrm{a})$
B
$-\int_{\mathrm{a}}^{\mathrm{b}} \frac{\mathrm{x}}{3\left((\mathrm{f}(\mathrm{x}))^2-1\right)} \mathrm{dx}+\mathrm{bf}(\mathrm{b})-\mathrm{af}(\mathrm{a})$
C
$\int_{\mathrm{a}}^{\mathrm{b}} \frac{\mathrm{x}}{3\left((\mathrm{f}(\mathrm{x}))^2-1\right)} \mathrm{dx}-\mathrm{bf}(\mathrm{b})+\mathrm{af}(\mathrm{a})$
D
$-\int_{\mathrm{a}}^{\mathrm{b}} \frac{\mathrm{x}}{3\left((\mathrm{f}(\mathrm{x}))^2-1\right)} \mathrm{dx}-\mathrm{bf}(\mathrm{b})+\mathrm{af}(\mathrm{a})$
✓ Correct! Well done.
✗ Incorrect. Try again or view the solution.
Solution
Solution Image
Question Tags
JEE Advance
Mathematics
Easy
Start Preparing for JEE with Competishun
Filters 0
JEE Main
JEE Advance
Easy
Medium
Hard
Showing 18 questions
QJEE Main 20242024
The coefficients $a, b, c$ in the quadratic equation $a x^2+b x+c=0$ are from the set $\{1,2,3,4,5,6\}$. If the probability...
JEE MainMathematicsEasy
View Solution
QJEE Main 20242024
The values of $m, n$, for which the system of equations
$...
JEE MainMathematicsEasy
View Solution
QJEE Main 20242024
Let the set $S=\{2,4,8,16, \ldots, 512\}$ be partitioned into 3 sets $\mathrm{A}, \mathrm{B}, \mathrm{C}$ with equal number of elements such...
JEE MainMathematicsEasy
View Solution
QJEE Main 20242024
Let the circle $C_1: x^2+y^2-2(x+y)+1=0$ and $C_2$ be a circle having centre at $(-1,0)$ and radius 2 . If the...
JEE MainMathematicsEasy
View Solution
QJEE Main 20242024
Let $f, \mathrm{~g}: \mathrm{R} \rightarrow \mathrm{R}$ be defined as : $f(\mathrm{x})=|\mathrm{x}-1|$ and $...
JEE MainMathematicsEasy
View Solution
QJEE Main 20242024
If the constant term in the expansion of $\left(\frac{\sqrt[5]{3}}{x}+\frac{2 x}{\sqrt[3]{5}}\right)^{12}, x \neq 0$, is $\alpha \times 2^8 \times \sqrt[5]{3}$, then...
JEE MainMathematicsEasy
View Solution
QJEE Main 20242024
Let $(\alpha, \beta, \gamma)$ be the point $(8,5,7)$ in the line $\frac{x-1}{2}=\frac{y+1}{3}=\frac{z-2}{5}$. Then $\alpha+\beta+\gamma$ is equal to
JEE MainMathematicsEasy
View Solution
QJEE Main 20242024
Let $\mathrm{A}(-1,1)$ and $\mathrm{B}(2,3)$ be two points and P be a variable point above the line $A B$ such that...
JEE MainMathematicsEasy
View Solution
QJEE Main 20242024
Consider three vectors $\vec{a}, \vec{b}, \vec{c}$. Let $|\vec{a}|=2,|\vec{b}|=3$ and $\overrightarrow{\mathrm{a}}=\overrightarrow{\mathrm{b}} \times \overrightarrow{\mathrm{c}}$. If $\alpha \in\left[0, \frac{\pi}{3}\right]$ is the angle between...
JEE MainMathematicsEasy
View Solution
QJEE Main 20242024
Let $\vec{a}=2 \hat{\imath}+5 \hat{\jmath}-\hat{k}, \vec{b}=2 \hat{\imath}-2 \hat{\jmath}+2 \hat{k}$ and $\overrightarrow{\mathrm{c}}$ be three vectors such that $(\vec{c}+\hat{\imath}) \times(\vec{a}+\vec{b}+\hat{\imath})=\vec{a} \times(\vec{c}+\hat{\imath})$. $...
JEE MainMathematicsEasy
View Solution
QJEE Main 20242024
60 words can be made using all the letters of the word BHBJO, with or without meaning. If these words...
JEE MainMathematicsEasy
View Solution
QJEE Main 20242024
The area enclosed between the curves $y=x|x|$ and $\mathrm{y}=\mathrm{x}-|\mathrm{x}|$ is :
JEE MainMathematicsEasy
View Solution
QJEE Main 20242024
Let $S_1=\{z \in C:|z| \leq 5\}, S_2=\left\{z \in C: \operatorname{Im}\left(\frac{z+1-\sqrt{3} i}{1-\sqrt{3} i}\right) \geq 0\right\}$ and $...
JEE MainMathematicsEasy
View Solution
QJEE Main 20242024
The differential equation of the family of circles passing the origin and having center at the line $\mathrm{y}=\mathrm{x}$ is :
JEE MainMathematicsEasy
View Solution
QJEE Main 20242024
Let $f:[-1,2] \rightarrow \mathrm{R}$ be given by $f(\mathrm{x})=2 \mathrm{x}^2+\mathrm{x}+\left[\mathrm{x}^2\right]-[\mathrm{x}]$, where $[\mathrm{t}]$ denotes the greatest integer less than or equal to...
JEE MainMathematicsEasy
View Solution
QJEE Main 20242024
The current in an inductor is given by I = (3t + 8) where t is in second. The magnitude...
JEE MainPhysicsEasy
View Solution
QJEE Main 20242024
A wire of resistance $20 \Omega$ is divided into 10 equal parts. A combination of two parts are connected in...
JEE MainPhysicsEasy
View Solution
QJEE Main 20242024
The maximum height reached by a projectile is 64 m. If the initial velocity is halved, the new maximum height...
JEE MainPhysicsEasy
View Solution
Check this project | Best Developer Portfolio