Competishun Header

Report Issue

JEE MAIN 2025
04-04-2025 SHIFT-1
Question
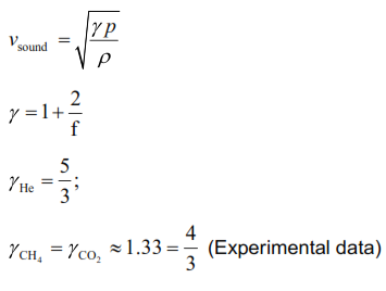
Consider the sound wave travelling in ideal gases of ${\rm{He}},{\rm{C}}{{\rm{H}}_4}$, and ${\rm{C}}{{\rm{O}}_2}$. All the gases have the same ratio $\frac{P}{\rho }$, where P is the pressure and $\rho $ is the density. The ratio of the speed of sound through the gases ${{\rm{V}}_{{\rm{He}}}}:{{\rm{V}}_{{\rm{C}}{{\rm{H}}_4}}}:{{\rm{V}}_{{\rm{C}}{{\rm{O}}_2}}}$ is given by
Select the correct option:
A
$\sqrt {\frac{7}{5}} :\sqrt {\frac{5}{3}} :\sqrt {\frac{4}{3}} $
B
$\sqrt {\frac{4}{3}} :\sqrt {\frac{5}{3}} :\sqrt {\frac{7}{5}} $
C
$\sqrt {\frac{5}{3}} :\sqrt {\frac{4}{3}} :\sqrt {\frac{4}{3}} $
D
$\sqrt {\frac{5}{3}} :\sqrt {\frac{4}{3}} :\sqrt {\frac{7}{5}} $
✓ Correct! Well done.
✗ Incorrect. Try again or view the solution.
Solution
Solution Image
Question Tags
JEE Main
Physics
Easy
Start Preparing for JEE with Competishun
Video Solution
BY competishun
Video Solution
Watch Solution
Filters 0
JEE Main
JEE Advance
Easy
Medium
Hard
Showing 18 questions
QJEE Advanced 20202020
Let $x, y$ and $z$ be positive real numbers. Suppose $x, y$ and $z$ are lengths of the sides of...
JEE AdvanceMathematicsEasy
View Solution
QJEE Advanced 20202020
Let S be the set of all complex numbers z satisfying $\left|\mathrm{z}^2+\mathrm{z}+1\right|=1$. Then which of the following statements is/are TRUE...
JEE AdvanceMathematicsEasy
View Solution
QJEE Advanced 20202020
Let M be a 3 X 3 invertible matrix with real entries and let I denote the $3 \times 3$...
JEE AdvanceMathematicsEasy
View Solution
QJEE Advanced 20202020
Let the function $f: R \rightarrow R$ be defined by $f(x)=x^3-x^2+(x-1) \sin x$ and let $g: R \rightarrow R$ be...
JEE AdvanceMathematicsEasy
View Solution
QJEE Advance 20202020
In an X-ray tube, electrons emitted from a filament (cathode) carrying current I hit a target (anode) at a distance...
JEE AdvancePhysicsEasy
View Solution
QJEE Advance 20202020
A rod of mass $m$ and length $L$, pivoted at one of its ends, is hanging vertically. A bullet of...
JEE AdvancePhysicsEasy
View Solution
QJEE Advanced 20202020
Consider all rectangles lying in the region $...
JEE AdvanceMathematicsEasy
View Solution
QJEE Advanced 20202020
Let C1 and C2 be two biased coins such that the probabilities of getting head in a single toss are...
JEE AdvanceMathematicsEasy
View Solution
QJEE Advance 20202020
A student skates up a ramp that makes an angle $30^{\circ}$ with the horizontal. $\mathrm{He} /$ she starts (as shown...
JEE AdvancePhysicsEasy
View Solution
QJEE Advance 20202020
A beaker of radius $r$ is filled with water (refractive index $\frac{4}{3}$ ) up to a height $H$ as shown...
JEE AdvancePhysicsEasy
View Solution
QJEE Advance 20202020
A thermally isolated cylindrical closed vessel of height 8 m is kept vertically. It is divided into two equal parts...
JEE AdvancePhysicsEasy
View Solution
QJEE Advance 20202020
A point charge q of mass m is suspended vertically by a string of length $l$. A point dipole of...
JEE AdvancePhysicsEasy
View Solution
QJEE Advanced 20202020
Let $\mathrm{a}, \mathrm{b}$ and $\lambda$ be positive real numbers. Suppose P is an end point of the latus rectum of...
JEE AdvanceMathematicsEasy
View Solution
QJEE Advanced 20202020
Let the functions $f: \mathrm{R} \rightarrow \mathrm{R}$ and $\mathrm{g}: \mathrm{R} \rightarrow \mathrm{R}$ be defined by $...
JEE AdvanceMathematicsEasy
View Solution
QJEE Advance 20202020
A hot air balloon is carrying some passengers, and a few sandbags of mass 1 kg each so that its...
JEE AdvancePhysicsEasy
View Solution
QJEE Advance 20202020
Two large circular discs separated by a distance of 0.01 m are connected to a battery via a switch as...
JEE AdvancePhysicsEasy
View Solution
QJEE Advanced 20202020
If the function $f: \mathrm{R} \rightarrow \mathrm{R}$ is defined by $\mathrm{f}(\mathrm{x})=|\mathrm{x}|(\mathrm{x}-\sin \mathrm{x})$, then which of the following statements is TRUE?
JEE AdvanceMathematicsEasy
View Solution
QJEE Advance 20202020
A train with cross-sectional area $\mathrm{S}_{\mathrm{t}}$ is moving with speed $v_t$ inside a long tunnel of cross-sectional area $\mathrm{S}_0\left(\mathrm{~S}_0=4 \mathrm{~S}_{\mathrm{t}}\right)$....
JEE AdvancePhysicsEasy
View Solution