Skip to content
Competishun Header
Home
Courses
Test Series
Books
Free Resources
Result
Contact Us
Free Resources
Courses
Test Series
JEE Solutions
NCERT PDF
Books
Gallery
Result
Blogs
Watch JEE Free Lectures
↗
Download Our App
↗
Follow Us
Login / Register
Back
Report
Report Issue
×
Wrong Answer
Typo Error
Image Issue
Not Clear
Other
JEE MAIN 2024
30-01-2024 S1
Question
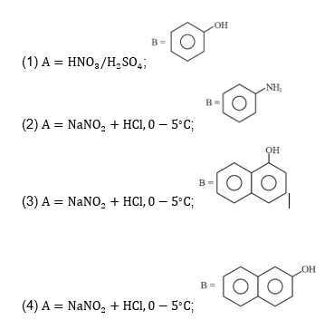
Following is a confirmatory test for aromatic primary amines. Identify reagent (A) and (B)
Options
A
B
C
D
✓ Correct! Well done.
✗ Incorrect. Try again or view the solution.
View Solution
Solution
Question Tags
JEE Main
Chemistry
Medium
Start Preparing for JEE with Competishun
YouTube
Books
App
Tests
Filters
0
Subject
▾
Exam
▾
JEE Main
JEE Advance
Difficulty
▾
Easy
Medium
Hard
Year
▾
✕ Clear All
Showing
18
questions
Q
Jee Main 2024
2024
Let $x=\frac{m}{n}\left(\mathrm{~m}, n\right.$ are co-prime natural numbers) be a solution of the equation $\cos \left(2 \sin ^{-1} x\right)=\frac{1}{9}$ and let...
JEE Main
Mathematics
Easy
View Solution
→
Q
JEE MAIN 2024
2024
If three successive terms of a G.P. with common ratio $r(r>1)$ are the lengths of the sides of a triangle...
JEE Main
Mathematics
Easy
View Solution
→
Q
JEE MAIN 2024
2024
Consider two circles $\mathrm{C}_1: \mathrm{x}^2+\mathrm{y}^2=25$ and $\mathrm{C}_2:(\mathrm{x}-\alpha)^2+y^2=16$, where $\alpha \in(5,9)$. Let the angle between the two radii (one to each...
JEE Main
Mathematics
Medium
View Solution
→
Q
Jee Main 2024
2024
Let A be the point of intersection of the lines $3 \mathrm{x}+2 y=14,5 x-y=6$ and $B$ be the point of...
JEE Main
Mathematics
Easy
View Solution
→
Q
Jee Main 2024
2024
If each term of a geometric progression $a_1, a_2, a_3, \ldots$ with $a_1=\frac{1}{8}$ and $a_2 \neq a_1$, is the arithmetic...
JEE Main
Mathematics
Medium
View Solution
→
Q
JEE MAIN 2024
2024
Let a line passing through the point $(-1,2,3)$ intersect the lines $\mathrm{L}_1: \frac{\mathrm{x}-1}{3}=\frac{\mathrm{y}-2}{2}=\frac{\mathrm{z}+1}{-2}$ at $M(\alpha, \beta, \gamma)$ and $L_2: \frac{x+2}{-3}=\frac{y-2}{-2}=\frac{z-1}{4}$...
JEE Main
Mathematics
Medium
View Solution
→
Q
JEE MAIN 2024
2024
Let the locus of the mid points of the chords of circle $x^2+(y-1)^2=1$ drawn from the origin intersect the line...
JEE Main
Mathematics
Easy
View Solution
→
Q
JEE-Main 2024
2024
Let the complex numbers $\alpha$ and $\frac{1}{\bar{\alpha}}$ lie on the circles $\left|z-z_0\right|^2=4$ and $\left|z-z_0\right|^2=16$ respectively, where $\mathrm{z}_0=1+\mathrm{i}$. Then, the value...
JEE Main
Mathematics
Medium
View Solution
→
Q
JEE-Main 2024
2024
The lines $\frac{x-2}{2}=\frac{y}{-2}=\frac{z-7}{16}$ and $\frac{x+3}{4}=\frac{y+2}{3}=\frac{z+2}{1}$ intersect at the point $P$. If the distance of P from the line $\frac{x+1}{2}= \frac{\mathrm{y}-1}{3}=\frac{\mathrm{z}-1}{1}$...
JEE Main
Mathematics
Easy
View Solution
→
Q
JEE-Main 2024
2024
Consider a circle $(x-\alpha)^2+(y-\beta)^2=50$, where $\alpha, \beta>0$. If the circle touches the line $y+x=0$ at the point P , whose...
JEE Main
Mathematics
Easy
View Solution
→
Q
JEE MAIN 2024
2024
Let $Y=Y(X)$ be a curve lying in the first quadrant such that the area enclosed by the line $\mathrm{Y}-\mathrm{y}=\mathrm{Y}^{\prime}(\mathrm{x})(\mathrm{X}- \mathrm{x})$...
JEE Main
Mathematics
Hard
View Solution
→
Q
JEE Main 2024
2024
The correct statement/s about Hydrogen bonding is/are :
A. Hydrogen bonding exists when H is covalently bonded to the...
JEE Main
Chemistry
Easy
View Solution
→
Q
JEE-Main 2024
2024
If the solution curve, of the differential equation $\frac{d y}{d x}=\frac{x+y-2}{x-y}$ passing through the point $(2,1)$ is $...
JEE Main
Mathematics
Medium
View Solution
→
Q
JEE-Main 2024
2024
Let $f(x)=\int_0^x g(t) \log _e\left(\frac{1-t}{1+t}\right) d t$, where $g$ is a continuous odd function. If $...
JEE Main
Mathematics
Hard
View Solution
→
Q
JEE MAIN 2024
2024
Let $\mathrm{R}=\left(\begin{array}{lll}\mathrm{x} & 0 & 0 \\ 0 & \mathrm{y} & 0 \\ 0 & 0 & \mathrm{z}\end{array}\right)$ be a...
JEE Main
Mathematics
Hard
View Solution
→
Q
JEE MAIN 2024
2024
Let Ajay will not appear in JEE exam with probability $\mathrm{p}=\frac{2}{7}$, while both Ajay and Vijay will appear in the...
JEE Main
Mathematics
Easy
View Solution
→
Q
JEE Main 2024
2024
When $\mathrm{MnO}_2$ and $\mathrm{H}_2 \mathrm{SO}_4$ is added to a salt $(\mathrm{A})$, the greenish yellow gas liberated as salt $(A)$ is...
JEE Main
Chemistry
Easy
View Solution
→
Q
Jee Main 2024
2024
If $\sin \left(\frac{y}{x}\right)=\log _e|x|+\frac{\alpha}{2}$ is the solution of the differential equation $x \cos \left(\frac{y}{x}\right) \frac{d y}{d x}=y \cos \left(\frac{y}{x}\right)+x$ and...
JEE Main
Mathematics
Medium
View Solution
→
Load More Questions
Check this project
|
Best Developer Portfolio
Scan the code
Powered by
Joinchat
Hello 👋 Welcome to Competishun – India’s most trusted platform for JEE & NEET preparation.
Need help with JEE / NEET courses, fees, batches, test series or free study material? Chat with us now 👇
Open Chat