Competishun Header

Report Issue

JEE Main 2019
9-01-2019 S1
Question
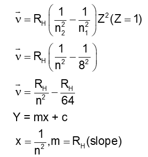
For emission line of atomic hydrogen from $n_i=8 \mid$ to $n_f=n$, the plot of wave number $(\vec{v})$ against $\left(\frac{1}{n^2}\right)$ will be (The Rydberg constant, $\mathrm{R}_{\mathrm{H}}$ is in wave number unit)
Select the correct option:
A
Linear with slope $\mathrm{R}_{\mathrm{H}}$
B
Linear with intercept $-\mathrm{R}_{\mathrm{H}}$
C
Non-linear
D
Linear with slope - $\mathrm{R}_{\mathrm{H}}$
✓ Correct! Well done.
✗ Incorrect. Try again or view the solution.
Solution
Solution Image
Question Tags
JEE Main
Chemistry
Medium
Start Preparing for JEE with Competishun
Filters 0
JEE Main
JEE Advance
Easy
Medium
Hard
Showing 18 questions
QJEE Advanced 20202020
An engineer is required to visit a factory for exactly four days during the first 15 days of every month...
JEE AdvanceMathematicsEasy
View Solution
QJEE Advanced 20202020
For non-negative integers s and r, let
$...
JEE AdvanceMathematicsEasy
View Solution
QJEE Advanced 20202020
Let a and b be positive real numbers. Suppose $\overrightarrow{\mathrm{PQ}}=a \hat{\mathrm{i}}+b \hat{\mathrm{j}}$ and $\overrightarrow{\mathrm{PS}}=a \hat{\mathrm{i}}-b \hat{\mathrm{j}}$ are adjacent sides of...
JEE AdvanceMathematicsEasy
View Solution
QJEE Advanced 20202020
Let $\alpha, \beta, \gamma, \delta$ be real numbers such that $\alpha^2+\beta^2+\gamma^2 \neq 0$ and $\alpha+\gamma=1$. Suppose the point $(3,2,-1)$ is...
JEE AdvanceMathematicsEasy
View Solution
QJEE Advanced 20202020
Let 𝒇:ℝ→ℝ and 𝒈:ℝ→ℝ be functions satisfying 𝑓(𝑥+𝑦)=𝑓(𝑥)+𝑓(𝑦)+𝑓(𝑥)𝑓(𝑦) and 𝑓(𝑥)=𝑥𝑔(𝑥) for all 𝑥,𝑦∈ℝ. If $\lim _{x \rightarrow 0} g(x)=1$, then...
JEE AdvanceMathematicsEasy
View Solution
QJEE Advanced 20202020
Let b be a nonzero real number. Suppose $f: \mathbb{R} \rightarrow \mathbb{R}$ is a differentiable function such that $(0)=1$. If...
JEE AdvanceMathematicsEasy
View Solution
QJEE Advanced 20202020
The value of the limit
$...
JEE AdvanceMathematicsEasy
View Solution
QJEE Advanced 20202020
Let the functions : (−1,1)→ℝ and 𝑔 : (−1,1)→(−1,1) be defined by ƒ(𝑥) = |2𝑥−1|+|2𝑥+1| and 𝑔(𝑥) = 𝑥−[𝑥], where...
JEE AdvanceMathematicsEasy
View Solution
QJEE Advanced 20202020
The trace of a square matrix is defined to be the sum of its diagonal entries. If A is a...
JEE AdvanceMathematicsEasy
View Solution
QJEE Advanced 20202020
Let O be the centre of the circle $\mathrm{x}^2+\mathrm{y}^2=\mathrm{r}^2$, where $\mathrm{r}>\frac{\sqrt{5}}{2}$. Suppose $P Q$ is a chord of this circle...
JEE AdvanceMathematicsEasy
View Solution
QJEE Advanced 20202020
The probability that a missile hits a target successfully is 0.75. In order to destroy the target completely, at least...
JEE AdvanceMathematicsEasy
View Solution
QJEE Advanced 20202020
For a complex number z, let $\operatorname{Re}(z)$ denote the real part of $z$. Let $S$ be the set of all...
JEE AdvanceMathematicsEasy
View Solution
QJEE Advanced 20202020
Let e denote the base of the natural logarithm. The value of the real number a for which the right...
JEE AdvanceMathematicsEasy
View Solution
QJEE Advanced 20202020
For a polynomial $\mathrm{g}(\mathrm{x})$ with real coefficient, let $\mathrm{m}_{\mathrm{g}}$ denote the number of distinct real roots of $\mathrm{g}(\mathrm{x})$. Suppose S...
JEE AdvanceMathematicsEasy
View Solution
QJEE_Advanced 20192019
Let $\mathrm{x} \in \mathbb{R}$ and let $...
JEE AdvanceMathematicsEasy
View Solution
QJEE Advance 20202020
A container with 1 kg of water in it is kept in sunlight, which causes the water to get warmer...
JEE AdvancePhysicsEasy
View Solution
QJEE Advanced 20202020
In a triangle PQR , let $\overrightarrow{\mathrm{a}}=\overrightarrow{\mathrm{QR}}, \overrightarrow{\mathrm{b}}=\overrightarrow{\mathrm{RP}}$ and $\overrightarrow{\mathrm{c}}=\overrightarrow{\mathrm{PQ}}$. If $|\overrightarrow{\mathrm{a}}|=3,|\overrightarrow{\mathrm{~b}}|=4$ and $\frac{\overrightarrow{\mathrm{a}} \cdot(\overrightarrow{\mathrm{c}}-\overrightarrow{\mathrm{b}})}{\overrightarrow{\mathrm{c}} \cdot(\overrightarrow{\mathrm{a}}-\overrightarrow{\mathrm{b}})}=\frac{|\overrightarrow{\mathrm{a}}|}{|\overrightarrow{\mathrm{a}}|+|\overrightarrow{\mathrm{b}}|}$, then the value of...
JEE AdvanceMathematicsEasy
View Solution
QJEE Advanced 20202020
Let f : [0, 2] -> R be the function defined by
$...
JEE AdvanceMathematicsEasy
View Solution