Report Issue

JEE MAIN
29-01-24 S1
Question
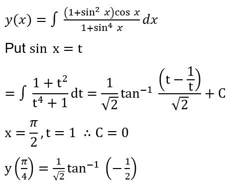
For $\mathrm{x} \in\left(-\frac{\pi}{2}, \frac{\pi}{2}\right)$, if $y(x)=\int \frac{\operatorname{cosec} x+\sin x}{\operatorname{cosec} x \sec x+\tan x \sin ^2 x} d x$ and $\lim _{x \rightarrow\left(\frac{\pi}{2}\right)^{-}} y(x)=0$ then $y\left(\frac{\pi}{4}\right)$ is equal to
Select the correct option:
A
$\tan ^{-1}\left(\frac{1}{\sqrt{2}}\right)$
B
$\frac{1}{2} \tan ^{-1}\left(\frac{1}{\sqrt{2}}\right)$
C
$-\frac{1}{\sqrt{2}} \tan ^{-1}\left(\frac{1}{\sqrt{2}}\right)$
D
(4) $\frac{1}{\sqrt{2}} \tan ^{-1}\left(-\frac{1}{2}\right)$
✓ Correct! Well done.
✗ Incorrect. Try again or view the solution.
Solution
Solution Image
Question Tags
JEE Main
Mathematics
Medium
Start Preparing for JEE with Competishun