Skip to content
Courses
Test Series
Books
Free Resources
Result
Contact Us
Courses
Test Series
JEE Solutions
NCERT PDF
Books
Free Resources
Exam Papers
Gallery
Result
Blogs
Watch JEE/NEET Free Lectures
↗
Download Our App
↗
Follow Us
Login / Register
Back
Report
Report Issue
×
Wrong Answer
Typo Error
Image Issue
Not Clear
Other
JEE-Advanced 2025
PAPER-2 2025
Multiple correct answers - Select all that apply
Question
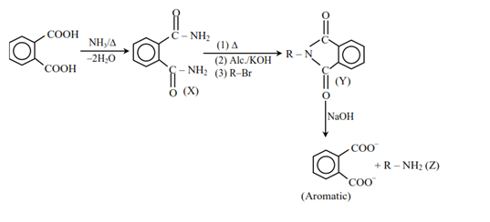
For the reaction sequence given below, the correct statement(s) is(are)
Select ALL correct options:
A
(A) Both $\mathbf{X}$ and $\mathbf{Y}$ are oxygen containing compounds.
B
$\mathbf{Y}$ on heating with $\mathrm{CHCl}_3 / \mathrm{KOH}$ forms isocyanide.
C
$\mathbf{Z}$ reacts with Hinsberg's reagent.
D
$\mathbf{Z}$ is an aromatic primary amine.
Submit Selected Answers
✓ Correct! Well done.
✗ Incorrect. Try again or view the solution.
⚠ Partially correct. Some answers are missing.
View Solution
Solution
Question Tags
JEE Advance
Chemistry
Easy
Start Preparing for JEE with Competishun
YouTube
Books
App
Tests
Scan the code
Powered by
Joinchat
Hello 👋 Welcome to Competishun – India’s most trusted platform for JEE & NEET preparation.
Need help with JEE / NEET courses, fees, batches, test series or free study material? Chat with us now 👇
Open Chat