Competishun Header

Report Issue

JEE MAIN 2025
23-01-2025 SHIFT-1
Question
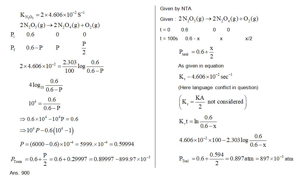
For the thermal decomposition of ${{\text{N}}_{2}}{{\text{O}}_{5}}(~\text{g})$ at constant volume, the following table can be formed, for the reaction mentioned below.
$2~{{\text{N}}_{2}}{{\text{O}}_{5}}(~\text{g})\to 2~{{\text{N}}_{2}}{{\text{O}}_{4}}(~\text{g})+{{\text{O}}_{2}}(~\text{g})$
Question Image
Write Your Answer
✓ Correct! Well done.
✗ Incorrect. Try again or view the solution.
Solution
Solution Image
Question Tags
JEE Main
Chemistry
Medium
Start Preparing for JEE with Competishun
Filters 0
JEE Main
JEE Advance
Easy
Medium
Hard
Showing 18 questions
QJEE Main 20262026
The number of elements in the set $\left\{x \in\left[0,180^{\circ}\right]: \tan \left(x+100^{\circ}\right)=\tan \left(x+50^{\circ}\right) \tan x \tan \left(x-50^{\circ}\right)\right\}$ is $\_\_\_\_$ .
JEE MainMathematicsMedium
View Solution
QJEE Main 20262026
Let S be a set of 5 elements and $\mathrm{P}(\mathrm{S})$ denote the power set of S . Let E be...
JEE MainMathematicsHard
View Solution
QJEE Main 20242024
Let z=(1+i)(1+2i)(1+3i)...(1+n i), where $i=\sqrt{-1}$. If $|z|^2=44200$, then $n$ is equal to
JEE MainMathematicsEasy
View Solution
QJEE Main 20262026
Let $(h, k)$ lie on the circle $\mathrm{C}: x^2+y^2=4$ and the point $(2 h+1,3 k+2)$ lie on an ellipse with...
JEE MainMathematicsEasy
View Solution
QJEE Main 20242024
If $f(x)$ satisfies the relation $f(x)=e^x+\int_0^1\left(y+x e^x\right) f(y) d y$, then $e+f(0)$ is equal to $\_\_\_\_$ .
JEE AdvanceMathematicsMedium
View Solution
QJEE Main 20262026
Let [t] denote the greatest integer less than or equal to t. If the function
$...
JEE MainMathematicsEasy
View Solution
QJEE Main 20262026
Let $\vec{a}=2 \hat{\mathrm{i}}-5 \hat{\mathrm{j}}+5 \hat{\mathrm{k}}$ and $\vec{b}=\hat{\mathrm{i}}-\hat{\mathrm{j}}+3 \hat{\mathrm{k}}$. If $\vec{c}$ is a vector such that $2(\vec{a} \times \vec{c})+3(\vec{b} \times \vec{c})=\overrightarrow{0}$...
JEE MainMathematicsEasy
View Solution
QJEE Main 20262026
The smallest positive integral value of $a$, for which all the roots of $x^4-a x^2+9=0$ are real and distinct, is...
JEE MainMathematicsMedium
View Solution
QJEE Main 20262026
Let $f$ be a function such that $3 f(x)+2 f\left(\frac{m}{19 x}\right)=5 x, x \neq 0$, where $m=\sum_{i=1}^9(i)^2$. Then $f(5)-f(2)$ is...
JEE MainMathematicsEasy
View Solution
QJEE Main 20262026
Let $y=y(x)$ be a differentiable function in the interval $(0, \infty)$ such that $y(1)=2$, and $...
JEE MainMathematicsEasy
View Solution
QJEE Main 20262026
Consider the following three statements for the function $f:(0, \infty) \rightarrow \mathbb{R}$ defined by $f(x)=\left|\log _e x\right|-|x-1|$ :
(I)...
JEE MainMathematicsEasy
View Solution
QJEE Main 20262026
If the domain of the function $f(x)=\sin ^{-1}\left(\frac{1}{x^2-2 x-2}\right)$, is $(-\infty, \alpha] \cup[\beta, \gamma] \cup[\delta, \infty)$, then $\alpha+\beta+\gamma+\delta$ is equal...
JEE AdvanceMathematicsEasy
View Solution
QJEE ADVANCE 20062006
Match the following:
JEE AdvanceChemistryEasy
View Solution
QJEE ADVANCE 20062006
According to Bohr's theory, $\mathrm{E}_{\mathrm{n}}=$ Total energy $\mathrm{K}_{\mathrm{n}}=$ Kinetic energy $\mathrm{V}_{\mathrm{n}}=$ Potential energy $\mathrm{r}_{\mathrm{n}}=$ Radius of $\mathrm{n}^{\text {th }}$ orbit...
JEE AdvanceChemistryEasy
View Solution
QJEE ADVANCE 20062006
Match the following:
JEE AdvanceChemistryEasy
View Solution
QJEE ADVANCE 20062006
Match the extraction processes listed in Column I with metals listed in Column II:
JEE AdvanceChemistryEasy
View Solution
QJEE ADVANCE 20062006
The edge length of unit cell of a metal having molecular weight $75 \mathrm{~g} / \mathrm{mol}$ is $5 \AA$ which...
JEE AdvanceChemistryEasy
View Solution
QJEE ADVANCE 20062006
We have taken a saturated solution of $\mathrm{AgBr} . \mathrm{K}_{\text {sp }}$ of AgBr is $12 \times 10^{-14}$. If $10^{-7}$...
JEE AdvanceChemistryEasy
View Solution
Check this project | Best Developer Portfolio