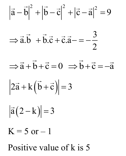
For three unit vectors $\vec{a}, \vec{b}, \vec{c}$ satisfying $|\overrightarrow{\mathrm{a}}-\overrightarrow{\mathrm{b}}|^2+|\overrightarrow{\mathrm{b}}-\overrightarrow{\mathrm{c}}|^2+|\overrightarrow{\mathrm{c}}-\overrightarrow{\mathrm{a}}|^2=9$ and $|2 \overrightarrow{\mathrm{a}}+\mathrm{k} \overrightarrow{\mathrm{b}}+\mathrm{k} \overrightarrow{\mathrm{c}}|=3$, the positive value of k is :
Hello 👋 Welcome to Competishun – India’s most trusted platform for JEE & NEET preparation. Need help with JEE / NEET courses, fees, batches, test series or free study material? Chat with us now 👇