Competishun turns 6 🎉 | Six years of trust. Thousands of JEE dreams guided, together. 🚀
🎉Competishunturns6|Six years of trust. Thousands of JEE dreams guided, together.🎊
🎉Competishunturns6|Six years of trust. Thousands of JEE dreams guided, together.🎊
Competishun Header

Report Issue

JEE Advance 2011
Paper-1
Question
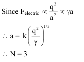
Four point charges, each of $+q$, are rigidly fixed at the four corners of a square planar soap film of side ' $a$ '. The surface tension of the soap film is $\gamma$. The system of charges and planar film are in equilibrium, and $\mathrm{a}=\mathrm{k}\left[\frac{\mathrm{q}^2}{\gamma}\right]^{1 / \mathrm{N}}$, where ' k ' is a constant. Then N is
Write Your Answer
✓ Correct! Well done.
✗ Incorrect. Try again or view the solution.
Solution
Solution Image
Question Tags
JEE Advance
Physics
Easy
Start Preparing for JEE with Competishun
Video Solution
BY competishun
Video Solution
Watch Solution from 58:19
Filters 0
JEE Main
JEE Advance
Easy
Medium
Hard
Showing 18 questions
QJEE MAIN_2026
Number of moles and number of molecules in 1.4187 L of $\mathrm{SO}_2$ at STP respectively are
JEE MainChemistryEasy
View Solution
QJEE MAIN_2026
Consider the following reactions sequence When the product $(\mathrm{P})$ is subjected to Carius analysis using $\mathrm{AgNO}_3, 1.0 \mathrm{~g}$ of the...
JEE MainChemistryMedium
View Solution
QJEE MAIN_2026
Number of paramagnetic ions among the following $d$ - and $f$-block metal ions is $\_\_\_\_$ . $$ \mathrm{Mn}^{2+}, \mathrm{Cu}^{2+}, \mathrm{Zn}^{2+},...
JEE MainChemistryEasy
View Solution
QJEE MAIN_2026
Consider the following two half-cell reactions along with the standard reduction potential given : $$ \begin{array}{ll} \mathrm{CO}_2+6 \mathrm{H}^{+}+6 \mathrm{e}^{-} \rightarrow...
JEE MainChemistryHard
View Solution
QJEE MAIN_2026
Consider the following gas phase reaction being carried out in a closed vessel at $25^{\circ} \mathrm{C}$. The pressure of $\mathrm{C}(\mathrm{g})$...
JEE MainChemistryMedium
View Solution
QJEE MAIN_2026
The surface of sodium metal is irradiated with radiation of wavelength $x \mathrm{~nm}$. The kinetic energy of ejected electrons is...
JEE MainChemistryEasy
View Solution
QJEE MAIN_2026
Thyroxine is derivative of Tyrosine and single letter symbol of Tyrosine amino acid is $Y$. Among $\mathrm{Fe}^{2+}, \mathrm{Fe}^{3+}, \mathrm{Cr}^{2+}$ and...
JEE MainChemistryEasy
View Solution
QJEE MAIN_2026
Among $\mathrm{Fe}^{2+}, \mathrm{Fe}^{3+}, \mathrm{Cr}^{2+}$ and $\mathrm{Zn}^{2+}$, the ion that shows positive borax bead test and with highest ionisation enthalpy is...
JEE MainChemistryEasy
View Solution
QJEE MAIN_2026
Identify compounds A and E in the following reaction sequence.
JEE MainChemistryMedium
View Solution
QJEE MAIN_2026
A molecule $(X)$ with following structure under mild acidic condition is hydrolysed to produce $(\mathrm{Y})$ and (Z). Identify the correct...
JEE MainChemistryMedium
View Solution
QJEE MAIN_2026
An organic compound " $x$ " where molar ratio of $\mathrm{C}, \mathrm{O}$ and H are equal, on treatment with $...
JEE MainChemistryMedium
View Solution
QJEE MAIN_2026
Correct statements regarding alkyl halides $(\mathrm{R}-\mathrm{X})$ among the following are : A. Alcohol being less polar solvent as compared to...
JEE MainChemistryMedium
View Solution
QJEE MAIN_2026
The compound $(\mathrm{X})$ on (i) on heating in the presence of anhydrous $\mathrm{AlCl}_3$ and HCl gas gives 2,4-dimethyl pentane (ii)...
JEE MainChemistryMedium
View Solution
QJEE MAIN_2026
Given below are two statements : In the light of the above statements, choose the correct answer from the options...
JEE MainChemistryEasy
View Solution
QJEE MAIN_2026
Complete combustion of Xg of an organic compound gave 0.25 g of $\mathrm{CO}_2$ and 0.12 g of $\mathrm{H}_2 \mathrm{O}$. If...
JEE MainChemistryMedium
View Solution
QJEE MAIN_2026
Which of the following complexes will show coordination isomerism? A. $\left[\mathrm{Ag}\left(\mathrm{NH}_3\right)_2\right]\left[\mathrm{Ag}(\mathrm{CN})_2\right]$ B. $\left[\mathrm{Co}\left(\mathrm{NH}_3\right)_6\right]\left[\mathrm{Cr}(\mathrm{CN})_6\right]$ c. $\left[\mathrm{Co}\left(\mathrm{NH}_3\right)_6\right]\left[\mathrm{Co}(\mathrm{CN})_6\right]$ D. $\left[\mathrm{Fe}\left(\mathrm{NH}_3\right)_6\right]\left[\mathrm{Co}(\mathrm{CN})_6\right]$ E. $\left[\mathrm{Co}\left(\mathrm{NH}_3\right)_6\right]\left[\mathrm{Fe}(\mathrm{CN})_6\right]$ Choose...
JEE MainChemistryEasy
View Solution
QJEE MAIN_2026
Given below are two statements: Statement I: Among $\mathrm{Zn}, \mathrm{Mn}, \mathrm{Sc}$ and Cu , the energy required to remove the...
JEE MainChemistryMedium
View Solution
QJEE MAIN_2026
Given below are two statements: Statement I: The second ionization enthalpy of $\mathrm{B}, \mathrm{Al}$ and Ga is in the order...
JEE MainChemistryEasy
View Solution
Check this project | Best Developer Portfolio