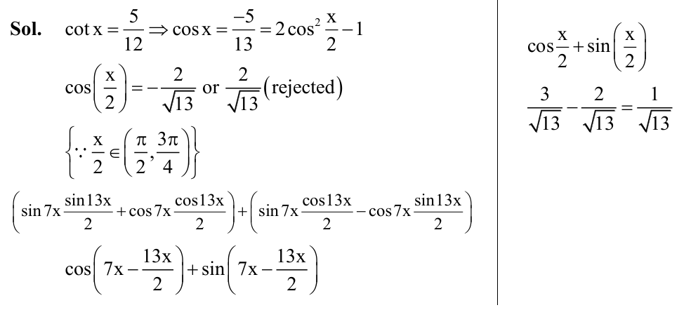
If $\cot x=\frac{5}{12}$ for some $x \in\left(\pi, \frac{3 \pi}{2}\right)$, then $\sin 7 x\left(\cos \frac{13 x}{2}+\sin \frac{13 x}{2}\right)+\cos 7 x\left(\cos \frac{13 x}{2}-\sin \frac{13 x}{2}\right)$ is equal to
Hello 👋 Welcome to Competishun – India’s most trusted platform for JEE & NEET preparation. Need help with JEE / NEET courses, fees, batches, test series or free study material? Chat with us now 👇