Skip to content
Competishun Header
Home
Courses
Test Series
Books
Free Resources
Result
Contact Us
Free Resources
Courses
Test Series
JEE Solutions
NCERT PDF
Books
Gallery
Result
Blogs
Watch JEE Free Lectures
↗
Download Our App
↗
Follow Us
Login / Register
Back
Report
Report Issue
×
Wrong Answer
Typo Error
Image Issue
Not Clear
Other
JEE Main 2024
24-01-2026 S2
Question
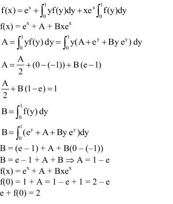
If f(x) satisfies the relation $f(x)=e^x+\int_0^1\left(y+x e^x\right) f(y) d y$, then $e+f(0)$ is equal to $\_\_\_\_$ .
Write Your Answer
Submit Answer
✓ Correct! Well done.
✗ Incorrect. Try again or view the solution.
View Solution
Solution
Question Tags
JEE Advance
Mathematics
Medium
Start Preparing for JEE with Competishun
YouTube
Books
App
Tests
Filters
0
Subject
▾
Exam
▾
JEE Main
JEE Advance
Difficulty
▾
Easy
Medium
Hard
Year
▾
✕ Clear All
Showing
18
questions
Q
JEE MAIN_2026
A wedge $Y$ with mass of 10 kg and all frictionless surfaces and the inclined surface making $37^{\circ}$ with horizontal....
JEE Main
Physics
Hard
View Solution
→
Q
JEE MAIN_2026
Three masses $m_1=4 \mathrm{~kg}, m_2=4 \mathrm{~kg}$ and $m_3=6 \mathrm{~kg}$ are suspended from a fixed smooth frictionless pulley as shown in...
JEE Main
Physics
Medium
View Solution
→
Q
JEE MAIN_2026
When one moves from a point 16 km below the earth's surface to a point 16 km above the earth's...
JEE Main
Physics
Medium
View Solution
→
Q
JEE MAIN_2026
$\mathrm{L}, \mathrm{C}$ and R represents physical quantities inductance, capacitance and resistance respectively. The dimensional formula $\mathrm{ML}^2 \mathrm{~T}^{-4} \mathrm{~A}^{-2}$ corresponds to...
JEE Main
Physics
Hard
View Solution
→
Q
JEE MAIN_2026
In a Vernier calipers, when both jaws touch each other, zero of the Vernier scale is shifted to the right...
JEE Main
Physics
Easy
View Solution
→
Q
JEE MAIN_2026
A body of mass 2 kg begins to move under the influence of time dependent force $...
JEE Main
Physics
Medium
View Solution
→
Q
JEE Mains 2026
2026
A salt with few drops of conc. HCl gives apple green colour in flame test. The group precipitate of the...
JEE Main
Chemistry
Medium
View Solution
→
Q
JEE Mains 2026
2026
Consider the three aromatic molecules (P, Q and R) whose structures have been given below :
JEE Main
Chemistry
Medium
View Solution
→
Q
JEE Mains 2026
2026
Match the following
JEE Main
Chemistry
Easy
View Solution
→
Q
JEE MAIN_2026
The velocity of a particle executing simple harmonic motion along $x$-axis is described as $v^2=50-x^2$, where x represents displacement. If...
JEE Main
Physics
Easy
View Solution
→
Q
JEE MAIN_2026
The surface tension of a soap solution is $3.5 \times 10^{-2} \mathrm{~N} / \mathrm{m}$. The work required to increase the...
JEE Main
Physics
Medium
View Solution
→
Q
JEE MAIN_2026
A 1 kg block subjected to two simultaneous forces $(2 \hat{\mathrm{i}}+3 \hat{\mathrm{j}}+4 \hat{\mathrm{k}}) \mathrm{N}$ and $(3 \hat{i}-\hat{j}-2 \hat{k}) \mathrm{N}$ is...
JEE Main
Physics
Easy
View Solution
→
Q
JEE MAIN_2026
An unpolarized light is incident on the plane interface of air-dielectric medium shown in figure. If the incident angle is...
JEE Main
Physics
Hard
View Solution
→
Q
JEE MAIN_2026
The voltage and the current between A and B points shown in the circuit are _____.
JEE Main
Physics
Medium
View Solution
→
Q
JEE Main 2026
2026
For the given molecule, "x", the preferred site for the attack of the electrophile is :
JEE Main
Chemistry
Easy
View Solution
→
Q
JEE Mains 2026
2026
In IUPAC nomenclature, the correct order of decreasing priority of functional group is:
JEE Main
Chemistry
Easy
View Solution
→
Q
JEE Main 2026
2026
Given below are two statements:
Statement (I) : Benzyl chloride reacts faster in $\mathrm{S}_{\mathrm{N}} 1$ mechanism than ethyl chloride.
...
JEE Main
Physics
Easy
View Solution
→
Q
JEE MAIN_2026
Consider a circuit consisting of a capacitor $(20 \mu \mathrm{~F})$, resistor $(100 \Omega)$ and two identical diodes as shown in...
JEE Main
Physics
Medium
View Solution
→
Load More Questions
Check this project
|
Best Developer Portfolio
Scan the code
Powered by
Joinchat
Hello 👋 Welcome to Competishun – India’s most trusted platform for JEE & NEET preparation.
Need help with JEE / NEET courses, fees, batches, test series or free study material? Chat with us now 👇
Open Chat