Skip to content
Competishun Header
Home
Courses
Test Series
Books
Free Resources
Result
Contact Us
Free Resources
Courses
Test Series
JEE Solutions
NCERT PDF
Books
Gallery
Result
Blogs
Watch JEE Free Lectures
↗
Download Our App
↗
Follow Us
Login / Register
Back
Report
Report Issue
×
Wrong Answer
Typo Error
Image Issue
Not Clear
Other
JEE MAIN 2020
07-01-20 S1
Question
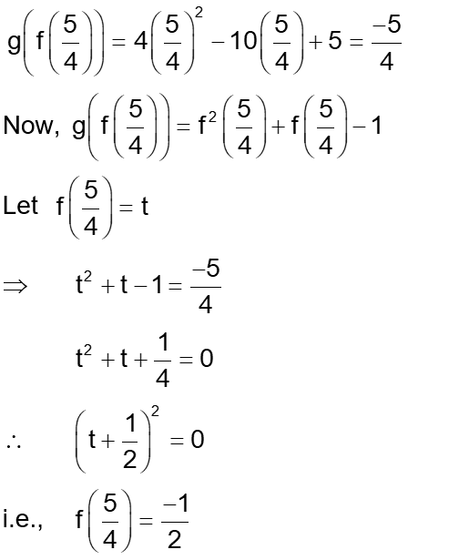
If $g(x)=x^2+x-1$ and $(g \circ f)(x)=4 x^2-10 x+5$, then $\mathrm{f}\left(\frac{5}{4}\right)$ is equal to:
Select the correct option:
A
$-\frac{1}{2}$
B
$\frac{3}{2}$
C
$\frac{1}{2}$
D
$-\frac{3}{2}$
✓ Correct! Well done.
✗ Incorrect. Try again or view the solution.
View Solution
Solution
Question Tags
JEE Main
Mathematics
Easy
Start Preparing for JEE with Competishun
YouTube
Books
App
Tests
Filters
0
Subject
▾
Exam
▾
JEE Main
JEE Advance
Difficulty
▾
Easy
Medium
Hard
Year
▾
✕ Clear All
Showing
18
questions
Q
JEE Main 2024
2024
The coefficients $a, b, c$ in the quadratic equation $a x^2+b x+c=0$ are from the set $\{1,2,3,4,5,6\}$. If the probability...
JEE Main
Mathematics
Easy
View Solution
→
Q
JEE Main 2024
2024
The values of $m, n$, for which the system of equations
$...
JEE Main
Mathematics
Easy
View Solution
→
Q
JEE Main 2024
2024
Let the set $S=\{2,4,8,16, \ldots, 512\}$ be partitioned into 3 sets $\mathrm{A}, \mathrm{B}, \mathrm{C}$ with equal number of elements such...
JEE Main
Mathematics
Easy
View Solution
→
Q
JEE Main 2024
2024
Let the circle $C_1: x^2+y^2-2(x+y)+1=0$ and $C_2$ be a circle having centre at $(-1,0)$ and radius 2 . If the...
JEE Main
Mathematics
Easy
View Solution
→
Q
JEE Main 2024
2024
Let $f, \mathrm{~g}: \mathrm{R} \rightarrow \mathrm{R}$ be defined as : $f(\mathrm{x})=|\mathrm{x}-1|$ and $...
JEE Main
Mathematics
Easy
View Solution
→
Q
JEE Main 2024
2024
If the constant term in the expansion of $\left(\frac{\sqrt[5]{3}}{x}+\frac{2 x}{\sqrt[3]{5}}\right)^{12}, x \neq 0$, is $\alpha \times 2^8 \times \sqrt[5]{3}$, then...
JEE Main
Mathematics
Easy
View Solution
→
Q
JEE Main 2024
2024
Let $(\alpha, \beta, \gamma)$ be the point $(8,5,7)$ in the line $\frac{x-1}{2}=\frac{y+1}{3}=\frac{z-2}{5}$. Then $\alpha+\beta+\gamma$ is equal to
JEE Main
Mathematics
Easy
View Solution
→
Q
JEE Main 2024
2024
Let $\mathrm{A}(-1,1)$ and $\mathrm{B}(2,3)$ be two points and P be a variable point above the line $A B$ such that...
JEE Main
Mathematics
Easy
View Solution
→
Q
JEE Main 2024
2024
Consider three vectors $\vec{a}, \vec{b}, \vec{c}$. Let $|\vec{a}|=2,|\vec{b}|=3$ and $\overrightarrow{\mathrm{a}}=\overrightarrow{\mathrm{b}} \times \overrightarrow{\mathrm{c}}$. If $\alpha \in\left[0, \frac{\pi}{3}\right]$ is the angle between...
JEE Main
Mathematics
Easy
View Solution
→
Q
JEE Main 2024
2024
Let $\vec{a}=2 \hat{\imath}+5 \hat{\jmath}-\hat{k}, \vec{b}=2 \hat{\imath}-2 \hat{\jmath}+2 \hat{k}$ and $\overrightarrow{\mathrm{c}}$ be three vectors such that $(\vec{c}+\hat{\imath}) \times(\vec{a}+\vec{b}+\hat{\imath})=\vec{a} \times(\vec{c}+\hat{\imath})$. $...
JEE Main
Mathematics
Easy
View Solution
→
Q
JEE Main 2024
2024
60 words can be made using all the letters of the word BHBJO, with or without meaning. If these words...
JEE Main
Mathematics
Easy
View Solution
→
Q
JEE Main 2024
2024
The area enclosed between the curves $y=x|x|$ and $\mathrm{y}=\mathrm{x}-|\mathrm{x}|$ is :
JEE Main
Mathematics
Easy
View Solution
→
Q
JEE Main 2024
2024
Let $S_1=\{z \in C:|z| \leq 5\}, S_2=\left\{z \in C: \operatorname{Im}\left(\frac{z+1-\sqrt{3} i}{1-\sqrt{3} i}\right) \geq 0\right\}$ and $...
JEE Main
Mathematics
Easy
View Solution
→
Q
JEE Main 2024
2024
The differential equation of the family of circles passing the origin and having center at the line $\mathrm{y}=\mathrm{x}$ is :
JEE Main
Mathematics
Easy
View Solution
→
Q
JEE Main 2024
2024
Let $f:[-1,2] \rightarrow \mathrm{R}$ be given by $f(\mathrm{x})=2 \mathrm{x}^2+\mathrm{x}+\left[\mathrm{x}^2\right]-[\mathrm{x}]$, where $[\mathrm{t}]$ denotes the greatest integer less than or equal to...
JEE Main
Mathematics
Easy
View Solution
→
Q
JEE Main 2024
2024
The current in an inductor is given by I = (3t + 8) where t is in second. The magnitude...
JEE Main
Physics
Easy
View Solution
→
Q
JEE Main 2024
2024
A wire of resistance $20 \Omega$ is divided into 10 equal parts. A combination of two parts are connected in...
JEE Main
Physics
Easy
View Solution
→
Q
JEE Main 2024
2024
The maximum height reached by a projectile is 64 m. If the initial velocity is halved, the new maximum height...
JEE Main
Physics
Easy
View Solution
→
Load More Questions
Check this project
|
Best Developer Portfolio
Scan the code
Powered by
Joinchat
Hello 👋 Welcome to Competishun – India’s most trusted platform for JEE & NEET preparation.
Need help with JEE / NEET courses, fees, batches, test series or free study material? Chat with us now 👇
Open Chat