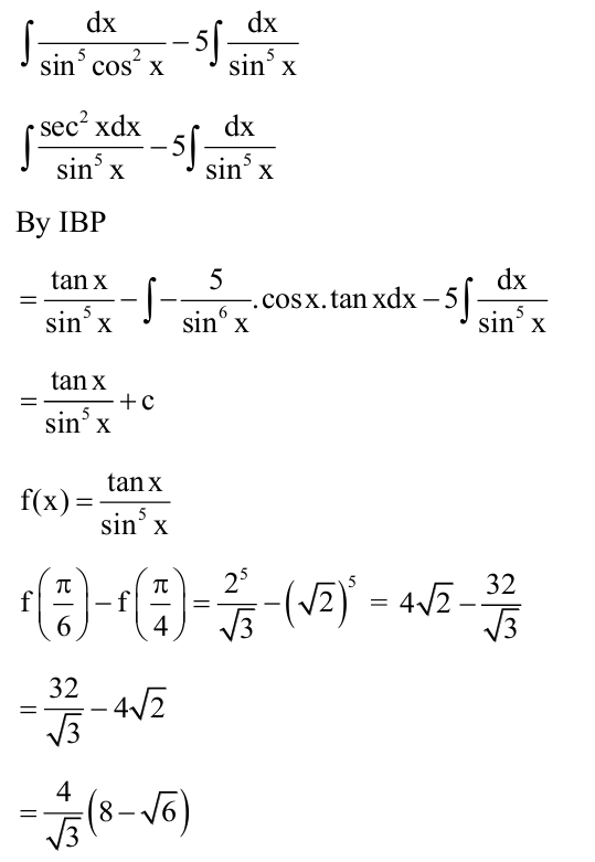
If $\int\left(\frac{1-5 \cos ^2 x}{\sin ^5 x \cos ^2 x}\right) d x=f(x)+\mathrm{C}$, where C is the constant of integration, then $f\left(\frac{\pi}{6}\right)-f\left(\frac{\pi}{4}\right)$ is equal to
Hello 👋 Welcome to Competishun – India’s most trusted platform for JEE & NEET preparation. Need help with JEE / NEET courses, fees, batches, test series or free study material? Chat with us now 👇