Skip to content
Competishun Header
Home
Courses
Test Series
Books
Free Resources
Result
Contact Us
Free Resources
Courses
Test Series
JEE Solutions
NCERT PDF
Books
Gallery
Result
Blogs
Watch JEE Free Lectures
↗
Download Our App
↗
Follow Us
Login / Register
Back
Report
Report Issue
×
Wrong Answer
Typo Error
Image Issue
Not Clear
Other
JEE-Main 2024
27-01-24 S2
Question
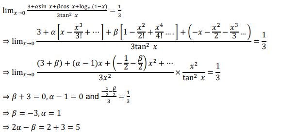
If $\lim _{x \rightarrow 0} \frac{3+\alpha \sin x+\beta \cos x+\log _e(1-x)}{3 \tan ^2 x}=\frac{1}{3}$, then $2 \alpha-\beta$ is equal to :
Select the correct option:
A
2
B
7
C
5
D
1
✓ Correct! Well done.
✗ Incorrect. Try again or view the solution.
View Solution
Solution
Question Tags
JEE Main
Mathematics
Medium
Start Preparing for JEE with Competishun
YouTube
Books
App
Tests
Filters
0
Subject
▾
Exam
▾
JEE Main
JEE Advance
Difficulty
▾
Easy
Medium
Hard
Year
▾
✕ Clear All
Showing
18
questions
Q
Jee Main 2024
2024
If $a=\sin ^{-1}(\sin (5))$ and $b=\cos ^{-1}(\cos (5))$, then $a^2+b^2$ is equal to
JEE Main
Mathematics
Easy
View Solution
→
Q
Jee Main 2024
2024
The number of solutions, of the equation $\mathrm{e}^{\sin x}-2 \mathrm{e}^{-\sin x}=2$ is
JEE Main
Mathematics
Medium
View Solution
→
Q
JEE MAIN 2024
2024
Let $S_n$ denote the sum of the first $n$ terms of an arithmetic progression. If $S_{10}=390$ and the ratio of...
JEE Main
Mathematics
Easy
View Solution
→
Q
Jee Main 2024
2024
Consider the function $\mathrm{f}:(0, \infty) \rightarrow \mathrm{R}$ defined by $...
JEE Main
Mathematics
Easy
View Solution
→
Q
Jee Main 2024
2024
Let $\overrightarrow{\mathrm{OA}}=\overrightarrow{\mathrm{a}}, \overrightarrow{\mathrm{OB}}=12 \overrightarrow{\mathrm{a}}+4 \overrightarrow{\mathrm{~b}}$ and $\overrightarrow{\mathrm{OC}}=\overrightarrow{\mathrm{b}}$, where O is the origin. If $S$ is the parallelogram with adjacent sides...
JEE Main
Mathematics
Medium
View Solution
→
Q
Jee Main 2024
2024
If the function $\mathrm{f}:(-\infty,-1] \rightarrow(\mathrm{a}, \mathrm{b}]$ defined by $f(x)=e^{x 3-3 x+1}$ is one-one and onto, then the distance of the...
JEE Main
Mathematics
Medium
View Solution
→
Q
Jee Main 2024
2024
Let the mean and the variance of 6 observation $a, b, 68,44,48,60$ be 55 and 194 , respectively if $a>b$,...
JEE Main
Mathematics
Medium
View Solution
→
Q
Jee Main 2024
2024
The sum of the solutions $x \in \mathbb{R}$ of the equation $...
JEE Main
Mathematics
Hard
View Solution
→
Q
Jee Main 2024
2024
\text { The area of the region enclosed by the parabola } y=4 x-x^2 \text { and } 3 y=(x-4)^2...
JEE Main
Mathematics
Easy
View Solution
→
Q
JEE Main 2024
2024
The current flowing through the $1 \Omega$ resistor is $\frac{n}{10}$ A. The value of $n$ is
JEE Main
Physics
Hard
View Solution
→
Q
JEE MAIN 2024
2024
Consider a $\triangle \mathrm{ABC}$ where $\mathrm{A}(1,2,3), \mathrm{B}(-2,8,0)$ and $\mathrm{C}(3,6,7)$. If the angle bisector of $\angle \mathrm{BAC}$ meets the line $...
JEE Main
Mathematics
Easy
View Solution
→
Q
Jee Main 2024
2024
Let $\mathrm{f}: \rightarrow \mathrm{R} \rightarrow(0, \infty)$ be strictly increasing function such that $\lim _{\substack{x \rightarrow \infty \\ f(x)}} \frac{f(7 x)}{2}=1$....
JEE Main
Mathematics
Easy
View Solution
→
Q
Jee Main 2024
2024
Let $r$ and $\theta$ respectively be the modulus and amplitude of the complex number $z=2-i\left(2 \tan \frac{5 \pi}{8}\right)$, then $...
JEE Main
Mathematics
Medium
View Solution
→
Q
JEE MAIN 2024
2024
Let $P$ and $Q$ be the points on the line $\frac{x+3}{8}=\frac{y-4}{2}=\frac{z+1}{2}$ which are at a distance of 6 units from...
JEE Main
Mathematics
Easy
View Solution
→
Q
JEE Main 2024
2024
The position, velocity and acceleration of a particle executing simple harmonic motion are found to have magnitudes of $...
JEE Main
Physics
Medium
View Solution
→
Q
JEE Main 2024
2024
A charge q is placed at the center of one of the surface of a cube. The flux linked with...
JEE Main
Physics
Easy
View Solution
→
Q
Jee Main 2024
2024
Let $2^{\text {nd }}, 8^{\text {th }}$ and $44^{\text {th }}$, terms of a non-constant A.P. be respectively the $...
JEE Main
Mathematics
Easy
View Solution
→
Q
JEE Main 2024
2024
When a coil is connected across a 20 V dc supply, it draws a current of 5 A . When...
JEE Main
Physics
Hard
View Solution
→
Load More Questions
Check this project
|
Best Developer Portfolio
Scan the code
Powered by
Joinchat
Hello 👋 Welcome to Competishun – India’s most trusted platform for JEE & NEET preparation.
Need help with JEE / NEET courses, fees, batches, test series or free study material? Chat with us now 👇
Open Chat