Skip to content
Competishun Header
Home
Courses
Test Series
Books
Free Resources
Result
Contact Us
Free Resources
Courses
Test Series
JEE Solutions
NCERT PDF
Books
Gallery
Result
Blogs
Watch JEE Free Lectures
↗
Download Our App
↗
Follow Us
Login / Register
Back
Report
Report Issue
×
Wrong Answer
Typo Error
Image Issue
Not Clear
Other
JEE Advance 2006
Single Correct Type
Question
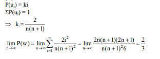
If $P\left(u_i\right) \propto i$, where $i=1,2,3, \ldots n$, then $\lim _{n \rightarrow \infty} P(w)$ is equal to
Select the correct option:
A
1
B
$\frac{2}{3}$
C
$\frac{3}{4}$
D
$\frac{1}{4}$
✓ Correct! Well done.
✗ Incorrect. Try again or view the solution.
View Solution
Solution
Question Tags
JEE Advance
Mathematics
Easy
Start Preparing for JEE with Competishun
YouTube
Books
App
Tests
Filters
0
Subject
▾
Exam
▾
JEE Main
JEE Advance
Difficulty
▾
Easy
Medium
Hard
Year
▾
✕ Clear All
Showing
18
questions
Q
JEE Advance 2006
2006
Two waves $\mathrm{y}_1=\mathrm{A} \cos (0.5 \pi \mathrm{x}-100 \pi \mathrm{t})$ and $y_2=A \cos (0.46 \pi x-92 \pi t)$ are travelling in...
JEE Advance
Physics
Easy
View Solution
→
Q
JEE ADVANCE 2006
2006
$\mathrm{MgSO}_4$ on reaction with $\mathrm{NH}_4 \mathrm{OH}$ and $\mathrm{Na}_2 \mathrm{HPO}_4$ forms a white crystalline precipitate. What is its formula?
JEE Advance
Chemistry
Easy
View Solution
→
Q
JEE ADVANCE 2006
2006
What are N and M ?
JEE Advance
Chemistry
Easy
View Solution
→
Q
JEE ADVANCE 2006
2006
The smallest ketone and its next homologue are reacted with $\mathrm{NH}_2 \mathrm{OH}$ to form oxime.
JEE Advance
Chemistry
Easy
View Solution
→
Q
JEE ADVANCE 2006
2006
The given graph represents the variation of Z (compressibility factor $=\frac{\mathrm{PV}}{\mathrm{nRT}}$ ) versus P , for three real gases $...
JEE Advance
Chemistry
Easy
View Solution
→
Q
JEE ADVANCE 2006
2006
The major products P and Q are
JEE Advance
Chemistry
Easy
View Solution
→
Q
JEE Advance 2006
2006
A ball moves over a fixed track as shown in the figure. From $A$ to $B$ the ball rolls without...
JEE Advance
Physics
Easy
View Solution
→
Q
JEE Advance 2006
2006
An infinite current carrying wire passes through point O and in perpendicular to the plane containing a current carrying loop...
JEE Advance
Physics
Easy
View Solution
→
Q
JEE ADVANCE 2006
2006
Which of the following reactants on reaction with conc. NaOH followed by acidification gives the following lactone as the only...
JEE Advance
Chemistry
Easy
View Solution
→
Q
JEE Advance 2006
2006
The graph between $1 / \lambda$ and stopping potential (V) of three metals having work functions $\phi_1, \phi_2$ and $\phi_3$...
JEE Advance
Physics
Easy
View Solution
→
Q
JEE Advance 2006
2006
In a dark room with ambient temperature $\mathrm{T}_0$, a black body is kept at a temperature T . Keeping the...
JEE Advance
Physics
Easy
View Solution
→
Q
JEE ADVANCE 2006
2006
The species present in solution when $\mathrm{CO}_2$ is dissolved in water are
JEE Advance
Chemistry
Easy
View Solution
→
Q
JEE Advance 2006
2006
A circle touches the line L and the circle $\mathrm{C}_1$ externally such that both the circles are on the same...
JEE Advance
Mathematics
Easy
View Solution
→
Q
JEE Advance 2006
2006
Function $\mathrm{x}=\mathrm{A} \sin ^2 \omega \mathrm{t}+\mathrm{B} \cos ^2 \omega \mathrm{t}+\mathrm{C} \sin \omega \mathrm{t} \cos \omega \mathrm{t}$ represents SHM
JEE Advance
Physics
Easy
View Solution
→
Q
JEE ADVANCE 2006
2006
If the bond length of CO bond in carbon monoxide is $1.128 \AA$, then what is the value of CO...
JEE Advance
Chemistry
Easy
View Solution
→
Q
JEE Advance 2006
2006
Let ABCD be a square of side length 2 units. $\mathrm{C}_2$ is the circle through vertices $\mathrm{A}, \mathrm{B}, \mathrm{C}, \mathrm{D}$...
JEE Advance
Mathematics
Easy
View Solution
→
Q
JEE Advance 2006
2006
If $\mathrm{f}^{\prime}(\mathrm{x})<0 \forall \mathrm{x} \in(\mathrm{a}, \mathrm{b})$ and c is a point such that $\mathrm{a}<\mathrm{c}<\mathrm{b}$, and (c, $\left.\mathrm{f}(\mathrm{c})\right)$ is the point lying on the curve for which $\mathrm{F}(\mathrm{c})$ is maximum, then $f^{\prime}(c)$ is equal to
JEE Advance
Mathematics
Easy
View Solution
→
Q
JEE Advance 2006
2006
Suppose we define the definite integral using the following formula $\int_a f(x) d x=\frac{b-a}{2}(f(a)+f(b))$, for more accurate result for $...
JEE Advance
Mathematics
Easy
View Solution
→
Load More Questions
Scan the code
Powered by
Joinchat
Hello 👋 Welcome to Competishun – India’s most trusted platform for JEE & NEET preparation.
Need help with JEE / NEET courses, fees, batches, test series or free study material? Chat with us now 👇
Open Chat