Report Issue

JEE MAIN 2025
28-01-2025 SHIFT-2
Question
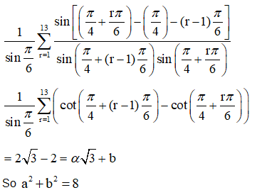
If $\displaystyle\sum_{r=1}^{13}\left\{\frac{1}{\sin \left(\frac{\pi}{4}+(r-1) \frac{\pi}{6}\right) \sin \left(\frac{\pi}{4}+\frac{r \pi}{6}\right)}\right\}=a \sqrt{3}+b, a, b \in Z$, then $a^{2}+b^{2}$ is equal to :
Select the correct option:
A
10
B
2
C
4
D
8
✓ Correct! Well done.
✗ Incorrect. Try again or view the solution.
Solution
Solution Image
Question Tags
JEE Main
Mathematics
Easy
Start Preparing for JEE with Competishun