Report Issue

JEE MAIN 2023
31-01-23 S2
Question
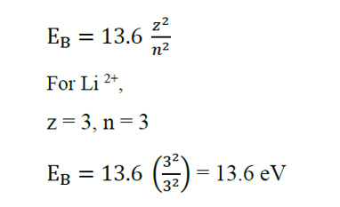
If the binding energy of ground state electron in a hydrogen atom is 13.6 eV , then, the energy required to remove the electron from the second excited state of $\mathrm{Li}^{2+}$ will be: $x \times 10^{-1} e \mathrm{~V}$. The value of $x$ is $\_\_\_\_$ .
Write Your Answer
✓ Correct! Well done.
✗ Incorrect. Try again or view the solution.
Solution
Solution Image
Question Tags
JEE Main
Physics
Easy
Start Preparing for JEE with Competishun