Report Issue

JEE MAIN_2019
_10-04-2019-S-1
Question
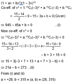
If the coefficients of $x^2$ and $x^3$ are both zero, in the expansion of the expression $\left(1+a x+b x^2\right) (1-3 x)^{15}$ in powers of $x$, then the ordered pair $(\mathrm{a}, \mathrm{b})$ is equal to:
Select the correct option:
A
(– 54, 315)
B
(28, 861)
C
(–21, 714)
D
(28, 315)
✓ Correct! Well done.
✗ Incorrect. Try again or view the solution.
Solution
Solution Image
Question Tags
JEE Main
Mathematics
Easy
Start Preparing for JEE with Competishun